


国际肿瘤学杂志››2025,Vol. 52››Issue (9): 566-575.doi:10.3760/cma.j.cn371439-20250417-00096
吴松友1,2, 王刚1,2,3(
), 王文玲1,2,3, 董洪敏1,2,3, 陈唯唯1,2,3, 李小凯1,2,3, 陈望花1,2,3, 左凯1,2,3
收稿日期:2025-04-17修回日期:2025-05-18出版日期:2025-09-08发布日期:2025-10-21通讯作者:王刚 E-mail:389896586@qq.com基金资助:
Wu Songyou1,2, Wang Gang1,2,3(
), Wang Wenling1,2,3, Dong Hongmin1,2,3, Chen Weiwei1,2,3, Li Xiaokai1,2,3, Chen Wanghua1,2,3, Zuo Kai1,2,3
Received:2025-04-17Revised:2025-05-18Online:2025-09-08Published:2025-10-21Contact:Wang Gang E-mail:389896586@qq.comSupported by:
摘要:
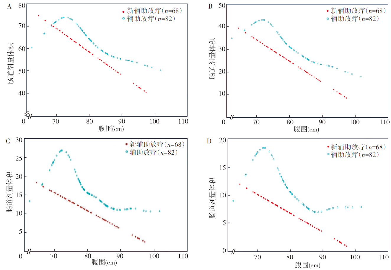
目的探究直肠癌盆腔调强放疗中腹围对肠道受照剂量体积及急性肠道毒性的影响。方法收集2023年3月至2025年1月在贵州医科大学附属肿瘤医院接受辅助和新辅助同步放化疗治疗的150例局部进展期直肠癌(LARC)患者,其中辅助放疗82例,新辅助放疗68例。所有患者均按俯卧位垫腹板并膀胱充盈的标准模式进行放疗CT模拟定位。根据是否发生≥2级急性肠道毒性将肠道毒性处理为二分类变量。采用线性及logistic回归模型分析LARC患者各个肠道受照剂量体积(V10、V20、V30、V40)、急性肠道毒性的影响因素,采用广义相加模型和分段线性及logistic回归分析腹围与肠道受照剂量体积和急性肠道毒性的阈值效应。根据阈值95%CI上限确定腹围界值,利用差异性检验验证小腹围和中大腹围在肠道受照剂量体积和急性肠道毒性的差异。结果单因素分析显示,性别、体质量、腹围、计划靶区(PTV)、肠道体积均是辅助放疗LARC患者各个肠道受照剂量体积(V10、V20、V30、V40)的影响因素(均P<0.05),体质量、腹围、肠道体积均是新辅助放疗LARC患者各个肠道受照剂量体积(V10、V20、V30、V40)的影响因素(均P<0.05),体质量指数(BMI)、腹围、肠道体积、各个肠道受照体积(V10、V20、V30、V40)均是辅助放疗LARC患者急性肠道毒性的影响因素(均P<0.05),体质量、BMI、腹围、多个肠道受照剂量体积(V20、V30、V40)均是新辅助放疗LARC患者急性肠道毒性的影响因素(均P<0.05)。多因素分析显示,腹围(V10:β=-1.01,95%CI为-1.68~-0.33,P=0.004;V20:β=-0.94,95%CI为-1.28~-0.60,P<0.001;V30:β=-0.58,95%CI为-0.82~-0.34,P<0.001;V40:β=-0.41,95%CI为-0.60~-0.23,P<0.001)是辅助放疗LARC患者各个肠道受照剂量体积的独立影响因素,腹围(V10:β=-0.92,95%CI为-1.62~-0.22,P=0.010;V20:β=-0.84,95%CI为-1.11~-0.57,P<0.001;V30:β=-0.42,95%CI为-0.57~-0.28,P<0.001;V40:β=-0.30,95%CI为-0.41~-0.19,P<0.001)是新辅助放疗LARC患者各个肠道受照剂量体积的独立影响因素,腹围(OR=0.86,95%CI为0.78~0.95,P=0.002)是辅助放疗LARC患者急性肠道毒性的独立影响因素,腹围(OR=0.87,95%CI为0.79~0.96,P=0.004)是新辅助放疗LARC患者急性肠道毒性的独立影响因素。广义相加模型发现腹围与辅助放疗患者肠道受照剂量体积和急性肠道毒性存在非线性关系。进一步分段回归分析结果显示,腹围与肠道受照剂量体积(V10、V20、V30、V40)和急性肠道毒性间存在阈值效应,腹围与辅助放疗LARC患者肠道受照剂量体积V10、V20、V30、V40间的拐点值均为71.9 cm;腹围与新辅助放疗LARC患者肠道受照剂量体积V10、V20、V30、V40间的拐点值分别为69.0、69.0、69.0、68.6 cm;腹围与辅助放疗、新辅助放疗LARC患者急性肠道毒性的拐点值分别为71.9、69.0 cm。根据阈值95%CI上限将辅助和新辅助放疗患者的小腹围与中大腹围界值分别设定为76.1 cm和71.9 cm。在辅助放疗患者中,小腹围患者(n=22)不同水平肠道受照剂量体积V10[(7.65±2.29)cm3比(5.88±2.68)cm3,t=2.76,P=0.007]、V20[(4.28±1.27)cm3比(2.72±1.31)cm3,t=4.81,P<0.001]、V30[(2.42±1.07)cm3比(1.37±0.76)cm3,t=4.95,P<0.001]、V40[(1.69±0.74)cm3比(0.92±0.58)cm3,t=4.93,P<0.001]均显著高于中大腹围患者(n=60);在新辅助放疗患者中,小腹围患者(n=11)V20[(3.09±0.84)cm3比(2.28±1.17)cm3,t=2.17,P=0.033]、V30[1.44(1.22,1.53)cm3比0.91(0.56,1.22)cm3,Z=-3.04,P=0.002]、V40[0.93(0.84,1.09)cm3比0.44(0.30,0.81)cm3,Z=-3.19,P=0.001]均显著高于中大腹围患者(n=57)。在辅助放疗及新辅助放疗患者中,小腹围患者与中大腹围患者急性肠道毒性差异均有统计学意义(χ2=10.46,P=0.001;χ2=8.13,P=0.004)。结论在标准模式下(俯卧位垫腹板并充盈膀胱),腹围是直肠癌放疗患者肠道受照剂量体积及急性放射性肠道毒性的独立影响因素。腹围与不同水平的肠道受照剂量体积和急性肠道毒性间存在明显的非线性阈值效应,在拐点值前后腹围对肠道受照剂量体积和毒性的影响存在显著差异。小腹围患者在现有标准放疗模式下不仅未获得预期获益,反而面临更高的肠道受照体积和毒性风险。
吴松友, 王刚, 王文玲, 董洪敏, 陈唯唯, 李小凯, 陈望花, 左凯. 直肠癌盆腔调强放疗中腹围对肠道受照剂量体积及急性肠道毒性影响的前瞻性队列研究[J]. 国际肿瘤学杂志, 2025, 52(9): 566-575.
Wu Songyou, Wang Gang, Wang Wenling, Dong Hongmin, Chen Weiwei, Li Xiaokai, Chen Wanghua, Zuo Kai. Prospective cohort study on the effect of abdominal circumference on the intestinal radiation dose volume and the acute intestinal toxicity in pelvic intensity modulated radiation therapy for rectal cancer patients[J]. Journal of International Oncology, 2025, 52(9): 566-575.
表1
辅助放疗、新辅助放疗LARC患者一般临床资料[$\bar{x} \pm s$/例/M(Q1,Q3)]"
| 一般临床资料 | 辅助放疗(n=82) | 新辅助放疗(n=68) |
|---|---|---|
| 年龄 | 57.33±11.13 | 53.72±9.68 |
| 性别 | ||
| 女 | 29 | 22 |
| 男 | 53 | 46 |
| 身高(cm) | 160.99±7.76 | 160.69±7.00 |
| 体质量(kg) | 57.59±10.18 | 58.48±10.06 |
| BMI(kg/m2) | 22.17±3.26 | 22.63±3.56 |
| 腹围(cm) | 80.85±8.03 | 80.67±8.70 |
| T分期 | ||
| T1 | 1 | 0 |
| T2 | 4 | 2 |
| T3 | 65 | 32 |
| T4 | 12 | 34 |
| N分期 | ||
| N0 | 35 | 5 |
| N1 | 28 | 23 |
| N2 | 19 | 40 |
| 直肠病灶位置 | ||
| 上段 | 20 | 10 |
| 中段 | 39 | 29 |
| 下段 | 23 | 29 |
| PTV(cm3) | 11.39±1.50 | 11.31±1.79 |
| 肠道体积(cm3) | 8.05±3.13 | 8.09±3.52 |
| 膀胱体积(cm3) | 2.64(2.05,3.47) | 2.53(1.95,2.88) |
| 急性肠道毒性(级) | ||
| <2 | 59 | 51 |
| ≥2 | 23 | 17 |
表2
影响82例辅助放疗LARC患者肠道受照剂量体积的单因素分析"
| 因素 | V10 | V20 | V30 | V40 | |||||||||||
|---|---|---|---|---|---|---|---|---|---|---|---|---|---|---|---|
| β值 | 95%CI | P值 | β值 | 95%CI | P值 | β值 | 95%CI | P值 | β值 | 95%CI | P值 | ||||
| 年龄 | 0.34 | -0.20~0.87 | 0.213 | 0.09 | -0.20~0.38 | 0.540 | 0.10 | -0.10~0.29 | 0.319 | 0.07 | -0.07~0.21 | 0.337 | |||
| 性别 | -24.93 | -36.03~13.82 | <0.001 | -13.43 | -19.51~7.34 | <0.001 | -7.72 | -11.84~3.59 | <0.001 | -5.62 | -8.65~2.60 | <0.001 | |||
| 身高 | -0.76 | -1.51~0.01 | 0.049 | -0.41 | -0.82~0.01 | 0.049 | -0.25 | -0.52~0.03 | 0.075 | -0.19 | -0.39~0.01 | 0.057 | |||
| 体质量 | -0.78 | -1.34~-0.22 | 0.007 | -0.65 | -0.94~-0.37 | <0.001 | -0.41 | -0.60~-0.22 | <0.001 | -0.30 | -0.44~-0.17 | <0.001 | |||
| BMI | -1.68 | -3.45~0.09 | 0.063 | -1.77 | -2.68~0.86 | <0.001 | -1.11 | -1.71~-0.50 | <0.001 | -0.82 | -1.26~-0.38 | <0.001 | |||
| 腹围 | -0.77 | -1.49~0.05 | 0.037 | -0.78 | -1.15~-0.41 | <0.001 | -0.49 | -0.73~-0.25 | <0.001 | -0.37 | -0.55~-0.19 | <0.001 | |||
| T分期 | -3.20 | -15.33~8.93 | 0.601 | -1.80 | -8.43~4.82 | 0.590 | -1.61 | -5.97~2.75 | 0.464 | -1.61 | -4.80~1.57 | 0.316 | |||
| N分期 | 2.73 | -4.78~10.24 | 0.472 | -1.42 | -5.52~2.68 | 0.493 | -1.38 | -4.07~1.32 | 0.312 | -0.79 | -2.77~1.19 | 0.430 | |||
| 直肠病灶 位置 |
1.40 | -6.80~9.60 | 0.734 | 3.14 | -1.29~7.57 | 0.162 | 2.68 | -0.22~5.57 | 0.069 | 2.01 | -0.11~4.12 | 0.063 | |||
| PTV | 0.73 | 0.37~1.10 | <0.001 | 0.37 | 0.17~0.57 | <0.001 | 0.21 | 0.07~0.34 | 0.003 | 0.12 | 0.02~0.22 | 0.018 | |||
| 肠道体积 | 0.82 | 0.76~0.82 | <0.001 | 0.36 | 0.29~0.42 | <0.001 | 0.21 | 0.16~0.26 | <0.001 | 0.15 | 0.12~0.19 | <0.001 | |||
| 膀胱体积 | 0.53 | -0.14~1.20 | 0.118 | 0.01 | -0.36~0.38 | 0.964 | 0.05 | -0.19~0.30 | 0.672 | 0.07 | -0.11~0.24 | 0.469 | |||
表3
影响68例新辅助放疗LARC患者肠道受照剂量体积的单因素分析"
| 因素 | V10 | V20 | V30 | V40 | |||||||||||
|---|---|---|---|---|---|---|---|---|---|---|---|---|---|---|---|
| β值 | 95%CI | P值 | β值 | 95%CI | P值 | β值 | 95%CI | P值 | β值 | 95%CI | P值 | ||||
| 年龄 | 0.32 | -0.34~0.97 | 0.340 | 0.19 | -0.10~0.48 | 0.195 | 0.10 | -0.06~0.25 | 0.217 | 0.06 | -0.05~0.17 | 0.298 | |||
| 性别 | -18.44 | -31.20~-5.68 | 0.005 | -3.78 | -9.76~2.20 | 0.211 | -8.85 | -4.04~2.34 | 0.598 | -0.65 | -2.94~1.64 | 0.574 | |||
| 身高 | -0.78 | -1.67~0.11 | 0.084 | -0.29 | -0.62~0.19 | 0.071 | -0.05 | -0.27~0.17 | 0.643 | -0.01 | -0.16~0.15 | 0.954 | |||
| 体质量 | -0.64 | -1.26~-0.03 | 0.041 | -0.52 | -0.77~-0.27 | <0.001 | -0.25 | -0.39~-0.11 | 0.001 | -0.19 | -0.28~-0.16 | <0.001 | |||
| BMI | -1.09 | -2.86~0.69 | 0.226 | -1.36 | -2.09~-0.64 | <0.001 | -0.71 | -1.10~-0.33 | <0.001 | -0.56 | -0.84~-0.29 | <0.001 | |||
| 腹围 | -0.81 | -1.51~-0.10 | 0.026 | -0.74 | -1.01~-0.47 | <0.001 | -0.37 | -0.52~-0.23 | <0.001 | -0.28 | -0.38~-0.17 | <0.001 | |||
| T分期 | -7.84 | -19.09~3.42 | 0.169 | -2.40 | -7.47~2.67 | 0.348 | -1.95 | -4.60~0.70 | 0.146 | -1.82 | -3.71~0.06 | 0.057 | |||
| N分期 | 0.75 | -9.31~10.81 | 0.882 | -0.01 | -4.51~4.49 | 0.996 | -0.39 | -2.76~1.98 | 0.742 | 0.01 | -1.70~1.71 | 0.993 | |||
| 直肠病灶 位置 |
4.01 | -4.93~12.96 | 0.374 | 2.04 | -1.95~6.03 | 0.311 | 1.60 | -0.48~3.69 | 0.130 | 1.48 | 0.00~2.97 | 0.050 | |||
| PTV | 0.03 | -0.33~0.39 | 0.874 | 0.02 | -0.14~0.18 | 0.775 | 0.01 | -0.08~0.09 | 0.822 | 0.01 | -0.07~0.05 | 0.708 | |||
| 肠道体积 | 0.66 | 0.58~0.74 | <0.001 | 0.21 | 0.14~0.27 | <0.001 | 0.10 | 0.06~0.13 | <0.001 | 0.07 | 0.04~0.10 | <0.001 | |||
| 膀胱体积 | 0.18 | -0.42~0.77 | 0.556 | -0.14 | -0.40~0.13 | 0.310 | -0.08 | -0.22~0.06 | 0.257 | -0.04 | -0.14~0.06 | 0.475 | |||
表4
影响辅助放疗、新辅助放疗LARC患者急性肠道毒性的单因素分析"
| 因素 | 辅助放疗(n=82) | 新辅助放疗(n=68) | |||||
|---|---|---|---|---|---|---|---|
| OR值 | 95%CI | P值 | OR值 | 95%CI | P值 | ||
| 年龄 | 0.99 | 0.95~1.03 | 0.586 | 0.97 | 0.92~1.03 | 0.281 | |
| 性别 | 0.80 | 0.30~2.16 | 0.656 | 1.20 | 0.36~3.96 | 0.765 | |
| 身高 | 0.99 | 0.93~1.06 | 0.855 | 1.01 | 0.93~1.09 | 0.864 | |
| 体质量 | 0.95 | 0.90~1.00 | 0.054 | 0.94 | 0.89~1.00 | 0.016 | |
| BMI | 0.83 | 0.70~0.98 | 0.028 | 0.82 | 0.68~0.99 | 0.037 | |
| 腹围 | 0.90 | 0.83~0.97 | 0.004 | 0.89 | 0.82~0.97 | 0.007 | |
| T分期 | 1.41 | 0.51~3.88 | 0.509 | 0.78 | 0.29~2.07 | 0.614 | |
| N分期 | 1.27 | 0.69~2.34 | 0.439 | 1.05 | 0.44~2.53 | 0.912 | |
| 直肠病灶位置 | 0.81 | 0.41~1.58 | 0.532 | 1.04 | 0.48~2.28 | 0.921 | |
| PTV | 1.00 | 0.97~1.03 | 0.850 | 1.00 | 0.97~1.03 | 0.948 | |
| 肠道体积 | 1.02 | 1.00~1.04 | 0.024 | 1.00 | 0.99~1.02 | 0.768 | |
| 膀胱体积 | 1.03 | 0.98~1.09 | 0.276 | 1.02 | 0.97~1.07 | 0.523 | |
| V10 | 1.03 | 1.01~1.05 | 0.007 | 1.01 | 0.99~1.03 | 0.236 | |
| V20 | 1.05 | 1.01~1.09 | 0.006 | 1.08 | 1.02~1.15 | 0.009 | |
| V30 | 1.08 | 1.02~1.14 | 0.007 | 1.14 | 1.03~1.27 | 0.015 | |
| V40 | 1.11 | 1.03~1.19 | 0.007 | 1.16 | 1.02~1.31 | 0.025 | |
表5
影响辅助放疗、新辅助放疗LARC患者肠道受照剂量体积的多因素线性回归分析"
| 因素 | 辅助放疗(n=82) | 新辅助放疗(n=68) | |||||
|---|---|---|---|---|---|---|---|
| β值 | 95%CI | P值 | β值 | 95%CI | P值 | ||
| V10 | |||||||
| 未调整 | -0.77 | -1.49~-0.05 | 0.037 | -0.81 | -1.51~-0.10 | 0.026 | |
| 模型Ⅰ | -1.01 | -1.68~-0.33 | 0.004 | -0.92 | -1.62~-0.22 | 0.010 | |
| V20 | |||||||
| 未调整 | -0.78 | -1.15~-0.41 | <0.001 | -0.74 | -1.01~-0.47 | <0.001 | |
| 模型Ⅰ | -0.94 | -1.28~-0.60 | <0.001 | -0.84 | -1.11~-0.57 | <0.001 | |
| V30 | |||||||
| 未调整 | -0.49 | -0.73~-0.25 | <0.001 | -0.37 | -0.52~-0.23 | <0.001 | |
| 模型Ⅰ | -0.58 | -0.82~-0.34 | <0.001 | -0.42 | -0.57~-0.28 | <0.001 | |
| V40 | |||||||
| 未调整 | -0.37 | -0.55~-0.19 | <0.001 | -0.28 | -0.38~-0.17 | <0.001 | |
| 模型Ⅰ | -0.41 | -0.60~-0.23 | <0.001 | -0.30 | -0.41~-0.19 | <0.001 | |
表7
82例辅助放疗LARC患者肠道受照剂量体积分段线性回归分析"
| 项目 | V10 | V20 | V30 | V40 | |||||||||||
|---|---|---|---|---|---|---|---|---|---|---|---|---|---|---|---|
| β值 | 95%CI | P值 | β值 | 95%CI | P值 | β值 | 95%CI | P值 | β值 | 95%CI | P值 | ||||
| 一条直线效应 | -1.01 | -1.68~-0.33 | 0.004 | -0.94 | -1.28~-0.60 | <0.001 | -0.58 | -0.82~-0.34 | <0.001 | -0.41 | -0.60~-0.23 | <0.001 | |||
| 拐点(cm) | 71.9 | 71.9 | 71.9 | 71.9 | |||||||||||
| <拐点值 | 2.87 | -0.66~6.39 | 0.115 | 1.00 | -0.77~2.76 | 0.271 | 1.04 | -0.21~2.30 | 0.108 | 0.71 | -0.23~1.66 | 0.144 | |||
| >拐点值 | -1.42 | -2.16~-0.67 | <0.001 | -1.15 | -1.52~-0.77 | <0.001 | -0.79 | -1.02~-0.48 | <0.001 | -0.53 | -0.73~-0.33 | <0.001 | |||
| 对数似然比检验 | 0.022 | 0.022 | 0.008 | 0.013 | |||||||||||
表8
68例新辅助放疗LARC患者肠道受照剂量体积分段线性回归分析"
| 项目 | V10 | V20 | V30 | V40 | |||||||||||
|---|---|---|---|---|---|---|---|---|---|---|---|---|---|---|---|
| β值 | 95%CI | P值 | β值 | 95%CI | P值 | β值 | 95%CI | P值 | β值 | 95%CI | P值 | ||||
| 一条直线效应 | -0.92 | -1.62~-0.22 | <0.010 | -0.84 | -1.11~-0.57 | <0.001 | -0.42 | -0.57~-0.28 | <0.001 | -0.30 | -0.41~-0.19 | <0.001 | |||
| 拐点(cm) | 69.0 | 69.0 | 69.0 | 68.6 | |||||||||||
| <拐点值 | 3.31 | -5.94~12.56 | 0.486 | 0.21 | -3.32~3.74 | 0.906 | 0.42 | -1.52~2.37 | 0.671 | 0.55 | -1.06~2.16 | 0.508 | |||
| >拐点值 | -1.06 | -1.78~-0.33 | 0.006 | -0.88 | -1.16~-0.61 | <0.001 | -0.45 | -0.61~-0.30 | <0.001 | -0.32 | -0.43~-0.21 | <0.001 | |||
| 对数似然比检验 | 0.333 | 0.523 | 0.355 | 0.267 | |||||||||||
表9
辅助放疗、新辅助放疗LARC患者急性肠道毒性分段logistic回归分析"
| 项目 | 辅助放疗(n=82) | 新辅助放疗(n=68) | |||||
|---|---|---|---|---|---|---|---|
| OR值 | 95%CI | P值 | OR值 | 95%CI | P值 | ||
| 一条直线效应 | 0.86 | 0.78~0.95 | 0.002 | 0.87 | 0.79~0.96 | 0.004 | |
| 拐点 | 71.9 | 69.0 | |||||
| <拐点值 | 1.33 | 0.84~2.08 | 0.220 | 2.20 | 0.70~6.90 | 0.176 | |
| >拐点值 | 0.78 | 0.67~0.90 | <0.001 | 0.60 | 0.42~ 0.85 | 0.004 | |
| 对数似然比检验 | 0.022 | 0.033 | |||||
| 拐点值95%CI | 69.2~76.1 | 66.7~71.9 | |||||
表10
不同腹围的辅助放疗、新辅助放疗LARC患者肠道受照剂量体积比较[cm3, $\bar{x} \pm s$/M(Q1,Q3)]"
| 肠道受照 剂量体积 |
辅助放疗 | 新辅助放疗 | |||||||
|---|---|---|---|---|---|---|---|---|---|
| 小腹围(n=22) | 中大腹围(n=60) | t值 | P值 | 小腹围(n=11) | 中大腹围(n=57) | t/Z值 | P值 | ||
| V10 | 7.65±2.29 | 5.88±2.68 | 2.76 | 0.007 | 6.82±3.01 | 5.58±2.49 | 1.47 | 0.147 | |
| V20 | 4.28±1.27 | 2.72±1.31 | 4.81 | <0.001 | 3.09±0.84 | 2.28±1.17 | 2.17 | 0.033 | |
| V30 | 2.42±1.07 | 1.37±0.76 | 4.95 | <0.001 | 1.44(1.22,1.53) | 0.91(0.56,1.22) | -3.04 | 0.002 | |
| V40 | 1.69±0.74 | 0.92±0.58 | 4.93 | <0.001 | 0.93(0.84,1.09) | 0.44(0.30,0.81) | -3.19 | 0.001 | |
| [1] | Bray F, Laversanne M, Sung H, et al. Global cancer statistics 2022: GLOBOCAN estimates of incidence and mortality worldwide for 36 cancers in 185 countries[J].CA Cancer J Clin,2024,74(3): 229-263. DOI:10.3322/caac.21834. |
| [2] | 王裕新, 潘凯枫, 李文庆. 2022全球癌症统计报告解读[J].肿瘤综合治疗电子杂志,2024,10(3): 1-16. DOI:10.12151/JMCM.2024.03-01. |
| [3] | 国家卫生健康委员会医政司, 中华医学会肿瘤学分会. 国家卫健委中国结直肠癌诊疗规范(2023版)[J].中国实用外科杂志,2023,43(6): 602-630. DOI:10.19538/j.cjps.issn1005-2208.2023.06.02. |
| [4] | Benson AB, Venook AP, Adam M, et al. NCCN guidelines®insights: rectal cancer, version 3.2024[J].J Natl Compr Canc Netw,2024,22(6): 366-375. DOI:10.6004/jnccn.2024.0041. |
| [5] | Hale MF. Radiation enteritis: from diagnosis to management[J].Curr Opin Gastroenterol,2020,36(3): 208-214. DOI:10.1097/MOG.0000000000000632. |
| [6] | Samuelian JM, Callister MD, Ashman JB, et al. Reduced acute bowel toxicity in patients treated with intensity-modulated radiotherapy for rectal cancer[J].Int J Radiat Oncol Biol Phys,2012,82(5): 1981-1987. DOI:10.1016/j.ijrobp.2011.01.051. |
| [7] | Baglan KL, Frazier RC, Yan D, et al. The dose-volume relationship of acute small bowel toxicity from concurrent 5-FU-based chemotherapy and radiation therapy for rectal cancer[J].Int J Radiat Oncol Biol Phys,2002,52(1): 176-183. DOI:10.1016/s0360-3016(01)01820-x. |
| [8] | Robertson JM, Lockman D, Yan D, et al. The dose-volume relationship of small bowel irradiation and acute grade 3 diarrhea during chemoradiotherapy for rectal cancer[J].Int J Radiat Oncol Biol Phys,2008,70(2): 413-418. DOI:10.1016/j.ijrobp.2007.06.066. |
| [9] | Kim JY, Kim DY, Kim TH, et al. Intensity-modulated radiotherapy with a belly board for rectal cancer[J].Int J Colorectal Dis,2007,22(4): 373-379. DOI:10.1007/s00384-006-0166-x. pmid:16802067 |
| [10] | Wo JY, Anker CJ, Ashman JB, et al. Radiation therapy for rectal cancer: executive summary of an ASTRO clinical practice guideline[J].Pract Radiat Oncol,2021,11(1): 13-25. DOI:10.1016/j.prro.2020.08.004. pmid:33097436 |
| [11] | Wang G, Wang W, Jin H, et al. Effect of abdominal circumference on the irradiated bowel volume in pelvic radiotherapy for rectal cancer patients: implications for the radiotherapy-related intestinal toxicity[J].Front Oncol,2022,12: 843704. DOI:10.3389/fonc.2022.843704. |
| [12] | Cox JD, Stetz J, Pajak TF. Toxicity criteria of the Radiation Therapy Oncology Group (RTOG) and the European Organization for Research and Treatment of Cancer (EORTC)[J].Int J Radiat Oncol Biol Phys,1995,31(5):1341-1346. DOI:10.1016/0360-3016(95)00060-C. |
| [13] | Nijkamp J, Doodeman B, Marijnen C, et al. Bowel exposure in rectal cancer IMRT using prone, supine, or a belly board[J].Radiother Oncol,2012,102(1): 22-29. DOI:10.1016/j.radonc.2011.05.076. pmid:21723637 |
| [14] | Yang Y, Cai S, Zhao T, et al. Effect of prone and supine treatment positions for postoperative treatment of rectal cancer on target dose coverage and small bowel sparing using intensity-modulated radiation therapy[J].Transl Cancer Res,2020,9(2): 491-499. DOI:10.21037/tcr.2019.11.33. pmid:35117393 |
| [15] | Scobioala S, Kittel C, Niermann P, et al. A treatment planning study of prone vs. supine positions for locally advanced rectal carcinoma: comparison of 3‑dimensional conformal radiotherapy, tomotherapy, volumetric modulated arc therapy, and intensity-modulated radiotherapy[J].Strahlenther Onkol,2018,194(11): 975-984. DOI:10.1007/s00066-018-1324-0. pmid:29855667 |
| [16] | Holyoake DLP, Partridge M, Hawkins MA. Systematic review and meta-analysis of small bowel dose-volume and acute toxicity in conventionally-fractionated rectal cancer radiotherapy[J].Radiother Oncol,2019,138: 38-44. DOI:10.1016/j.radonc.2019.05.001. pmid:31136961 |
| [17] | Roeske JC, Bonta D, Mell LK, et al. A dosimetric analysis of acute gastrointestinal toxicity in women receiving intensity-modulated whole-pelvic radiation therapy[J].Radiother Oncol,2003,69(2): 201-207. DOI:10.1016/j.radonc.2003.05.001. pmid:14643959 |
| [18] | Sini C, Noris Chiorda B, Gabriele P, et al. Patient-reported intestinal toxicity from whole pelvis intensity-modulated radiotherapy: first quantification of bowel dose-volume effects[J].Radiother Oncol,2017,124(2): 296-301. DOI:10.1016/j.radonc.2017.07.005. pmid:28739383 |
| [19] | Lee J, Chang CL, Lin JB, et al. The effect of body mass index and weight change on late gastrointestinal toxicity in locally advanced cervical cancer treated with intensity-modulated radiotherapy[J].Int J Gynecol Cancer,2018,28(7): 1377-1386. DOI:10.1097/IGC.0000000000001312. pmid:29994908 |
| [1] | 海亚楠, 鲍文芳, 申屠航笑, 陈敬德.dMMR/MSI-H转移性结直肠癌免疫治疗耐药机制及耐药后治疗进展[J]. 国际肿瘤学杂志, 2025, 52(9): 598-602. |
| [2] | 陈俊, 唐丹丹, 周雨馨, 谭玉婷, 李泓澜, 徐群, 项永兵.1990—2021年中国中青年结直肠癌疾病负担时间趋势分析[J]. 国际肿瘤学杂志, 2025, 52(8): 508-516. |
| [3] | 吴鑫, 任海朋.KRASG12C抑制剂在晚期结直肠癌治疗中的研究进展[J]. 国际肿瘤学杂志, 2025, 52(8): 538-542. |
| [4] | 王勇, 乌新林.结直肠癌肝转移的相关分子机制[J]. 国际肿瘤学杂志, 2025, 52(6): 388-391. |
| [5] | 郭海洋, 洪永刚, 郝立强.铁死亡在结直肠癌中的作用及研究进展[J]. 国际肿瘤学杂志, 2025, 52(5): 319-324. |
| [6] | .结直肠癌筛查与早诊早治方案(2024年版)[J]. 国际肿瘤学杂志, 2025, 52(4): 195-196. |
| [7] | 刘前怡, 董洪敏, 王文玲, 王刚, 陈望花.放疗联合化疗和免疫治疗对HER2阴性局部晚期或晚期胃癌的临床疗效和安全性[J]. 国际肿瘤学杂志, 2025, 52(4): 209-216. |
| [8] | 王逸, 王强力, 张甲, 杨懿瑾, 王盛.结直肠癌肝转移患者组织中SUCNR1和YBX1的表达与临床病理特征及预后的关系[J]. 国际肿瘤学杂志, 2025, 52(3): 152-157. |
| [9] | 高威, 张玲, 吴田磊, 胡丽丽, 荣枫.基于机器学习构建食管癌患者放射性食管炎预测模型[J]. 国际肿瘤学杂志, 2025, 52(1): 31-37. |
| [10] | 詹海峰, 谭子煊, 王文学, 耿嘉蔚.节律基因在结直肠癌发生发展和时辰疗法中的研究进展[J]. 国际肿瘤学杂志, 2025, 52(1): 60-64. |
| [11] | 韦伟, 蔡曌颖, 钱亚云.通关藤联合XELOX方案促进人结直肠癌HCT116细胞双硫死亡的作用[J]. 国际肿瘤学杂志, 2024, 51(9): 545-555. |
| [12] | 詹海峰, 王文学, 耿嘉蔚.晚期结直肠癌精准分子靶向治疗研究进展[J]. 国际肿瘤学杂志, 2024, 51(9): 601-605. |
| [13] | 李志伟, 翟春宝.中药多酚类成分抗结直肠癌作用研究进展[J]. 国际肿瘤学杂志, 2024, 51(8): 526-531. |
| [14] | 钱晓涛, 石子宜, 胡格, 吴晓维.Ⅲ~ⅣA期食管鳞状细胞癌放化疗后行巩固化疗的疗效:一项真实世界临床研究[J]. 国际肿瘤学杂志, 2024, 51(6): 326-331. |
| [15] | 张蕊, 褚衍六.基于FIT与肠道菌群的结直肠癌风险评估模型的研究进展[J]. 国际肿瘤学杂志, 2024, 51(6): 370-375. |
| 阅读次数 | ||||||
| 全文 |
|
|||||
| 摘要 |
|
|||||