


国际肿瘤学杂志››2025,Vol. 52››Issue (1): 31-37.doi:10.3760/cma.j.cn371439-20240806-00004
收稿日期:2024-08-06修回日期:2024-12-13出版日期:2025-01-08发布日期:2025-01-21通讯作者:荣枫 E-mail:wazhl1996@163.com基金资助:
Gao Wei, Zhang Ling, Wu Tianlei, Hu Lili, Rong Feng(
)
Received:2024-08-06Revised:2024-12-13Online:2025-01-08Published:2025-01-21Contact:Rong Feng E-mail:wazhl1996@163.comSupported by:
摘要:
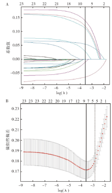
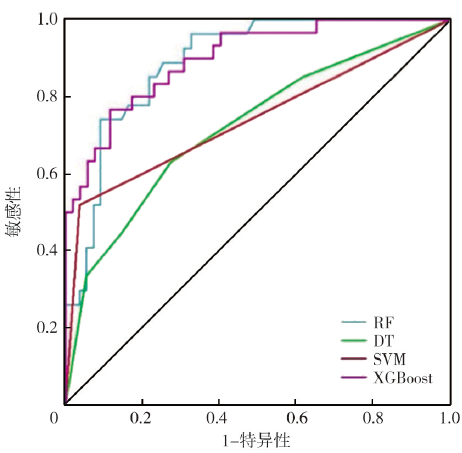
目的基于机器学习(ML)算法构建食管癌患者同步放化疗(CRT)过程中发生≥2级放射性食管炎(RE)的预测模型。方法回顾性分析2018年1月至2023年1月在安徽医科大学附属六安医院接受CRT的276例食管癌患者的临床资料,根据美国放射肿瘤治疗协作组RE分级标准评估是否发生RE,以发生≥2级RE为结局事件。通过最小绝对值收敛和选择算子(LASSO)回归筛选变量后重新建立数据集,将数据集以7∶3的比例分为训练集(n=193)及测试集(n=83),纳入到随机森林(RF)、决策树(DT)、极端梯度提升(XGboost)、支持向量机(SVM)4种ML模型中。在训练集中进行数据训练、模型优化,测试集用于受试者操作特征(ROC)曲线评价模型效果,计算曲线下面积(AUC)、精确度、准确度、敏感性、F1分数对模型进行评估,使用SHAP分析解释最优模型。结果至随访结束,91例(32.97%)食管癌患者在CRT期间发生≥2级RE。≥2级RE发生组(n=91)与未发生组(n=185)患者肿瘤病灶长径(Z=-5.53,P<0.001)、Karnofsky功能状态(KPS)评分(χ²=5.92,P=0.015)、美国东部肿瘤协作组(ECOG)评分(χ²=4.01,P=0.045)、高血压(χ²=15.35,P<0.001)、糖尿病(χ²=13.06,P<0.001)、白细胞计数(Z=-6.59,P<0.001)、中性粒细胞计数(Z=-6.72,P<0.001)、放疗剂量(χ²=9.81,P=0.002)差异均具有统计学意义。经过LASSO回归筛选最终选择出7个特征变量,分别为肿瘤病灶长径、ECOG评分、KPS评分、中性粒细胞计数、高血压、糖尿病、放疗剂量。ROC曲线分析显示,XGBoost模型预测性能较好,其AUC为0.90、准确度为0.82、精确度为0.80、敏感性为0.73、FI分数为0.76,RF模型AUC为0.89、准确度为0.78、精确度为0.76、敏感性为0.48、FI分数为0.59,DT模型AUC为0.72、准确度为0.72、精确度为0.44、敏感性为0.60、FI分数为0.52,SVM模型AUC为0.74、准确度为0.82、精确度为0.52、敏感性为0.88、FI分数为0.65。通过SHAP分析对XGBoost模型进行解释,其中肿瘤病灶长径、中性粒细胞计数、高血压、糖尿病、放疗剂量对食管癌患者CRT期间发生≥2级RE预测能力较强。结论基于XGBoost算法建立的模型对食管癌患者CRT期间发生≥2级RE具有较好的预测效能,同时与SHAP分析相结合,可以直观地了解模型中重要特征对结局的影响。
高威, 张玲, 吴田磊, 胡丽丽, 荣枫. 基于机器学习构建食管癌患者放射性食管炎预测模型[J]. 国际肿瘤学杂志, 2025, 52(1): 31-37.
Gao Wei, Zhang Ling, Wu Tianlei, Hu Lili, Rong Feng. A predictive model for radiation esophagitis in esophageal cancer patients based on machine learning[J]. Journal of International Oncology, 2025, 52(1): 31-37.
表1
接受CRT治疗食管癌患者发生与未发生≥2级RE临床特征比较[例(%)/M(Q1,Q3)/ $\bar{x}±s$]"
| 临床特征 | 未发生组(n=185) | 发生组(n=91) | χ²/Z/t值 | P值 |
|---|---|---|---|---|
| 性别 | ||||
| 女 | 40(21.62) | 20(21.98) | 0.01 | 0.946 |
| 男 | 145(78.38) | 71(78.02) | ||
| 食管病变部位 | ||||
| 上段 | 31(16.76) | 23(25.27) | ||
| 中段 | 123(66.49) | 52(57.14) | 3.13 | 0.209 |
| 下段 | 31(16.76) | 16(17.58) | ||
| 年龄 | 73(67,79) | 71(66,77) | -1.57 | 0.117 |
| 肿瘤病灶长径(cm) | 5(3,6) | 6(5,6) | -5.53 | <0.001 |
| 临床分期 | ||||
| Ⅰ~Ⅱ期 | 65(35.14) | 26(28.57) | 1.19 | 0.276 |
| Ⅲ~ⅣA期 | 120(64.86) | 65(71.43) | ||
| KPS评分(分) | ||||
| <90 | 83(44.86) | 55(60.44) | 5.92 | 0.015 |
| ≥90 | 102(55.14) | 36(39.56) | ||
| ECOG评分(分) | ||||
| 0 | 105(56.76) | 40(43.96) | 4.01 | 0.045 |
| 1 | 80(43.24) | 51(56.04) | ||
| 白蛋白(g/L) | 39.8(37.0,43.5) | 40.4(37.1,42.9) | -0.13 | 0.895 |
| 血红蛋白(g/L) | 116(103,129) | 114(103,128) | -0.73 | 0.463 |
| 肌酐(μmol/L) | 71(61,85) | 69(58,80) | -1.24 | 0.216 |
| 胆固醇(mmol/L) | 4.52±1.03 | 4.49±1.02 | 1.03 | 0.305 |
| 甘油三酯(mmol/L) | 1.04(0.79,1.36) | 1.05(0.82,1.39) | -0.31 | 0.754 |
| 白细胞计数(109/L) | 6.02(4.92,7.15) | 4.23(3.51,5.99) | -6.59 | <0.001 |
| 淋巴细胞计数(109/L) | 1.40(0.99,1.75) | 1.27(1.00,1.65) | -0.91 | 0.364 |
| 中性粒细胞计数(109/L) | 4.16(3.24,5.05) | 2.40(1.58,3.80) | -6.72 | <0.001 |
| 血小板计数(109/L) | 185.0(147.5,232.5) | 185.0(148.0,227.0) | -0.61 | 0.541 |
| 高血压 | ||||
| 无 | 152(82.16) | 55(60.44) | 15.35 | <0.001 |
| 有 | 33(17.84) | 36(39.56) | ||
| 脑梗死 | ||||
| 无 | 175(94.59) | 85(93.41) | 0.16 | 0.691 |
| 有 | 10(5.41) | 6(6.59) | ||
| 糖尿病 | ||||
| 无 | 160(86.49) | 62(68.13) | 13.06 | <0.001 |
| 有 | 25(13.51) | 29(31.87) | ||
| 吸烟 | ||||
| 否 | 103(55.68) | 48(52.75) | 0.21 | 0.646 |
| 是 | 82(44.32) | 43(47.25) | ||
| 饮酒 | ||||
| 否 | 113(61.08) | 53(58.24) | 0.20 | 0.651 |
| 是 | 72(38.92) | 38(41.76) | ||
| 化疗方式 | ||||
| 铂类 | 116(62.70) | 55(60.44) | 0.13 | 0.716 |
| 非铂类 | 69(37.30) | 36(39.56) | ||
| 放疗剂量(Gy) | ||||
| <50.4 | 76(41.08) | 20(21.98) | 9.81 | 0.002 |
| ≥50.4 | 109(58.92) | 71(78.02) |
| [1] | Siegel RL, Miller KD, Wagle NS, et al. Cancer statistics, 2023[J].CA Cancer J Clin,2023,73(1): 17-48. DOI:10.3322/caac.21763. |
| [2] | 中国医师协会放射肿瘤治疗医师分会, 中华医学会放射肿瘤治疗学分会, 中国抗癌协会肿瘤放射治疗专业委员会. 中国食管癌放射治疗指南(2023年版)[J].国际肿瘤学杂志,2024,51(1): 1-20. DOI:10.3760/cma.j.cn371439-20231221-00001. |
| [3] | Cooper JS, Guo MD, Herskovic A, et al. Chemoradiotherapy of locally advanced esophageal cancer: long-term follow-up of a prospective randomized trial (RTOG 85-01). Radiation Therapy Oncology Group[J].JAMA,1999,281(17): 1623-1627. DOI:10.1001/jama.281.17.1623. |
| [4] | 中国医师协会放射肿瘤治疗医师分会, 中华医学会放射肿瘤治疗学分会, 中国抗癌协会肿瘤放射治疗专业委员会. 中国食管鳞状细胞癌新辅助放射治疗专家共识[J].国际肿瘤学杂志,2023,50(3): 129-137. DOI:10.3760/cma.j.cn371439-20230217-00027. |
| [5] | Li C, Ni W, Wang X, et al. A phase Ⅰ/Ⅱ radiation dose escalation trial using simultaneous integrated boost technique with elective nodal irradiation and concurrent chemotherapy for unresectable esophageal cancer[J].Radiat Oncol,2019,14(1): 48.DOI:10.1186/s13014-019-1249-5. |
| [6] | Bradley J, Movsas B. Radiation esophagitis: predictive factors and preventive strategies[J].Semin Radiat Oncol,2004,14(4): 280-286. DOI:10.1016/j.semradonc.2004.06.003. pmid:15558501 |
| [7] | Cox JD, Stetz J, Pajak TF. Toxicity criteria of the Radiation Therapy Oncology Group (RTOG) and the European Organization for Research and Treatment of Cancer (EORTC)[J].Int J Radiat Oncol Biol Phys,1995,31(5): 1341-1346. DOI:10.1016/0360-3016(95)00060-C. |
| [8] | Glide-Hurst CK, Chetty IJ. Improving radiotherapy planning, delivery accuracy, and normal tissue sparing using cutting edge technologies[J].J Thorac Dis,2014,6(4): 303-318. DOI:10.3978/j.issn.2072-1439.2013.11.10. pmid:24688775 |
| [9] | Everitt S, Duffy M, Bressel M, et al. Association of oesophageal radiation dose volume metrics, neutropenia and acute radiation oesophagitis in patients receiving chemoradiotherapy for non-small cell lung cancer[J].Radiat Oncol,2016,11: 20. DOI:10.1186/s13014-016-0596-8. pmid:26864559 |
| [10] | Hirota S, Tsujino K, Endo M, et al. Dosimetric predictors of radiation esophagitis in patients treated for non-small-cell lung cancer with carboplatin/paclitaxel/radiotherapy[J].Int J Radiat Oncol Biol Phys,2001,51(2): 291-295. DOI:10.1016/s0360-3016(01)01648-0. |
| [11] | Choi RY, Coyner AS, Kalpathy-Cramer J, et al. Introduction to machine learning, neural networks, and deep learning[J].Transl Vis Sci Technol,2020,9(2): 14. DOI:10.1167/tvst.9.2.14. |
| [12] | Greener JG, Kandathil SM, Moffat L, et al. A guide to machine learning for biologists[J].Nat Rev Mol Cell Biol,2022,23(1): 40-55. DOI:10.1038/s41580-021-00407-0. |
| [13] | Kang J, Schwartz R, Flickinger J, et al. Machine learning approaches for predicting radiation therapy outcomes: a clinician's perspective[J].Int J Radiat Oncol Biol Phys,2015,93(5): 1127-1135. DOI:10.1016/j.ijrobp.2015.07.2286. |
| [14] | Rajula HSR, Verlato G, Manchia M, et al. Comparison of conventional statistical methods with machine learning in medicine: diag-nosis, drug development, and treatment[J].Medicina (Kaunas),2020,56(9): 455. DOI:10.3390/medicina56090455. |
| [15] | 蓝柳, 莫玉珍, 赵迎喜, 等. 正常组织并发症概率模型预测食管癌患者行同步放化疗时发生中-重度急性放射性食管炎的效能[J].广西医学,2019,41(23): 2965-2969, 2976. DOI:10.11675/j.issn.0253-4304.2019.23.05. |
| [16] | Yu Y, Zheng H, Liu L, et al. Predicting severe radiation esophagitis in patients with locally advanced esophageal squamous cell carcinoma receiving definitive chemoradiotherapy: construction and validation of a model based in the clinical and dosimetric parameters as well as inflammatory indexes[J].Front Oncol,2021,11: 687035. DOI:10.3389/fonc.2021.687035. |
| [17] | Yakar M, Etiz D, Metintas M, et al. Prediction of radiation pneumonitis with machine learning in stage Ⅲ lung cancer: a pilot study[J].Technol Cancer Res Treat,2021,20: 15330338211016373. DOI:10.1177/15330338211016373. |
| [18] | Prendin F, Pavan J, Cappon G, et al. The importance of interpreting machine learning models for blood glucose prediction in diabetes: an analysis using SHAP[J].Sci Rep,2023,13(1): 16865. DOI:10.1038/s41598-023-44155-x. |
| [19] | Liu H, Chen X, Liu X. Factors influencing secondary school students' reading literacy: an analysis based on XGBoost and SHAP methods[J].Front Psychol,2022,13: 948612. DOI:10.3389/fpsyg.2022.948612. |
| [20] | Stienstra CMK, Ieritano C, Haack A, et al. Bridging the gap between differential mobility, log S, and log P using machine learning and SHAP analysis[J].Anal Chem,2023,95(27): 10309-10321. DOI:10.1021/acs.analchem.3c00921. |
| [21] | Qiu J, Ke D, Lin H, et al. Using inflammatory indexes and clinical parameters to predict radiation esophagitis in patients with small-cell lung cancer undergoing chemoradiotherapy[J].Front Oncol,2022,12: 898653. DOI:10.3389/fonc.2022.898653. |
| [22] | Grundy SM. Inflammation, hypertension, and the metabolic syndrome[J].JAMA,2003,290(22): 3000-3002. DOI:10.1001/jama.290.22.3000. pmid:14665663 |
| [23] | Mikolajczyk TP, Szczepaniak P, Vidler F, et al. Role of inflammatory chemokines in hypertension[J].Pharmacol Ther,2021,223: 107799. DOI:10.1016/j.pharmthera.2020.107799. |
| [1] | .食管癌筛查与早诊早治方案(2024年版)[J]. 国际肿瘤学杂志, 2025, 52(1): 1-2. |
| [2] | 中华医学会放射肿瘤治疗学分会, 中国医师协会放射肿瘤治疗医师分会, 中国抗癌协会肿瘤放射治疗专业委员会.中国食管癌放射治疗指南(2024年版)[J]. 国际肿瘤学杂志, 2025, 52(1): 3-22. |
| [3] | 付成瑞, 李宝生, 黄伟.食管癌质子放疗研究进展[J]. 国际肿瘤学杂志, 2025, 52(1): 48-52. |
| [4] | 黄镇, 晏菲, 马燕凌, 孙建海.食管癌靶向及免疫治疗研究进展[J]. 国际肿瘤学杂志, 2025, 52(1): 53-59. |
| [5] | 尹浩, 吴旭栋, 王磊.螺旋断层放疗治疗食管癌的临床疗效及安全性分析[J]. 国际肿瘤学杂志, 2024, 51(9): 578-584. |
| [6] | 钱晓涛, 石子宜, 胡格, 吴晓维.Ⅲ~ⅣA期食管鳞状细胞癌放化疗后行巩固化疗的疗效:一项真实世界临床研究[J]. 国际肿瘤学杂志, 2024, 51(6): 326-331. |
| [7] | 杨蜜, 别俊, 张加勇, 邓佳秀, 唐组阁, 卢俊.局部晚期可切除食管癌新辅助治疗疗效及预后分析[J]. 国际肿瘤学杂志, 2024, 51(6): 332-337. |
| [8] | 刘静, 刘芹, 黄梅.基于SMOTE算法的食管癌放化疗患者肺部感染的预后模型构建[J]. 国际肿瘤学杂志, 2024, 51(5): 267-273. |
| [9] | 傅旖, 马辰莺, 张露, 周菊英.生境分析在恶性肿瘤影像组学中的研究进展[J]. 国际肿瘤学杂志, 2024, 51(5): 292-297. |
| [10] | 陈琦, 徐晨阳, 王寅, 雷大鹏.高光谱成像在头颈部肿瘤诊疗中的应用现状[J]. 国际肿瘤学杂志, 2024, 51(5): 298-302. |
| [11] | 万芳, 杨钢, 李睿, 万启晶.食管癌患者血清miR-497、miR-383水平及临床意义[J]. 国际肿瘤学杂志, 2024, 51(4): 204-209. |
| [12] | 钱晓涛, 石子宜, 胡格.Ⅲ~ⅣA期食管鳞状细胞癌根治性放化疗后行免疫检查点抑制剂维持治疗的真实世界临床研究[J]. 国际肿瘤学杂志, 2024, 51(3): 151-156. |
| [13] | 谢超, 张明鑫, 路宁, 苗涛.影响食管肿瘤内镜黏膜下剥离术后电凝综合征发生的相关因素分析[J]. 国际肿瘤学杂志, 2024, 51(10): 614-619. |
| [14] | 吴琴, 吴栋, 谢健龙, 罗钦辉, 劳良玲, 曾宇斌, 林立尧.替雷利珠单抗联合化疗在可切除食管癌新辅助治疗中的疗效及安全性评价[J]. 国际肿瘤学杂志, 2024, 51(10): 620-626. |
| [15] | 张悦宁, 刘倩, 李惠娴, 洪慧, 张金岭.软腭及食管多原发鳞状细胞癌鼻尖皮肤转移1例[J]. 国际肿瘤学杂志, 2024, 51(10): 667-669. |
| 阅读次数 | ||||||
| 全文 |
|
|||||
| 摘要 |
|
|||||