Journal of International Oncology››2025,Vol. 52››Issue (8): 517-522.doi:10.3760/cma.j.cn371439-20240528-00087

• Original Article •Previous ArticlesNext Articles

Prediction model for post-TACE infection risk in elderly patients with liver cancer

Huang Jinfa1(), Zheng Lianqiu1, Wu Jinpiao2, Liu Deting1, Chen Huiling2

  1. 1Department of Oncology and Hematology/Tumor and Vascular Intervention Center, Shishi City Hospital, Fujian Province, Shishi 362700, China
    2Liver Disease Center, 910th Hospital of the Chinese People's Liberation Army Joint Logistic Support Force, Quanzhou 362700, China
  • Received:2024-05-28Revised:2025-05-20Online:2025-08-08Published:2025-09-15
  • Contact:Huang Jinfa E-mail:57203010@qq.com
  • Supported by:
    Quanzhou Science and Technology Plan(2017Z018)

Abstract:

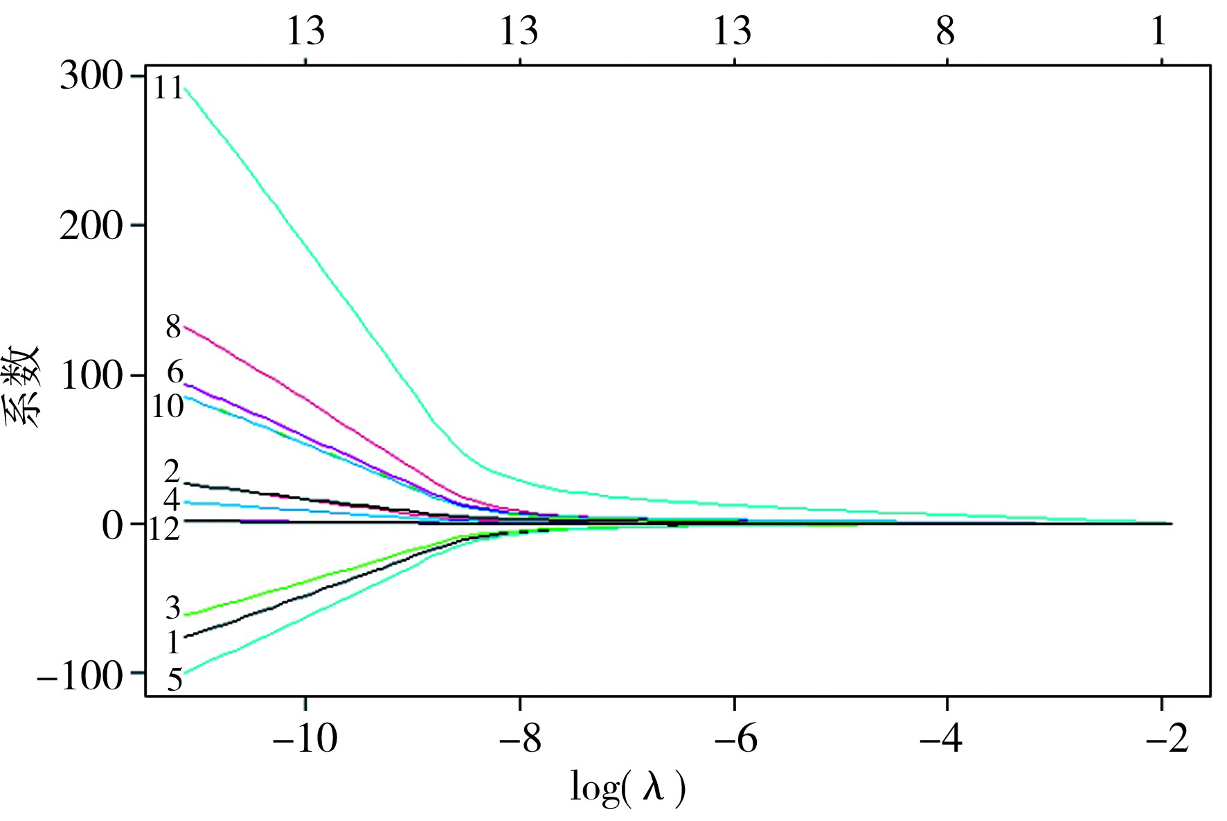
ObjectiveTo establish a risk prediction model based on least absolute shrinkage and selection operator (LASSO) regression for procalcitonin (PCT), milk fat globule-epidermal growth factor 8 (MFG-E8) and CXC chemokine ligand 9 (CXCL9) in elderly patients with liver cancer after transcatheter arterial chemoembolization (TACE).MethodsA total of 150 elderly patients with liver cancer who underwent TACE treatment in Shishi City Hospital, Fujian Province and 910th Hospital of the Chinese People's Liberation Army Joint Logistic Support Force from August 2020 to August 2023 were selected as the study subjects. Patients with infection after TACE were included in the infected group and those without infection were included in the non-infected group according to whether the patients had infection during the postoperative hospitalization. The baseline data of patients were collected and compared. LASSO regression was used to screen the factors that may affect the infection after TACE in elderly patients with liver cancer and binary logistic regression analysis was performed. According to the results of regression analysis, a nomogram model was constructed based on the regression analysis results and the nomogram was internally validated using Bootstrap and receiver operator characteristic (ROC) curves.ResultsThere were 18 cases of infection in 150 elderly patients with liver cancer after TACE, with an incidence of 12.00%. There were statistically significant differences in focal rupture and bleeding (χ2=5.92,P=0.015), ascites (χ2=6.70,P=0.010), skin or mucosal damage (χ2=6.67,P=0.010) between the infected group (n=18) and the non-infected group (n=132). The levels of serum PCT [(1.17±0.32 ) μg/Lvs.(0.91±0.14) μg/L], MFG-E8 [(194.29±45.85) pg/mlvs.(158.76±28.63) pg/ml] and CXCL9 [(948.49±52.38) pg/mlvs.(886.05±50.07) pg/ml] were higher than those in the non-infected group, with statistically significant differences (t=4.13,P<0.001;t=4.55,P<0.001;t=4.94,P<0.001). Four factors related to infection after TACE intervention in patients with liver cancer were finally selected by LASSO regression model, skin or mucosal damage, PCT, MFG-E8, CXCL9 levels. Binary logistic regression analysis showed that skin or mucosal damage (OR=13.48, 95%CI: 1.29-140.47,P=0.030), high levels of serum PCT (OR=1.13, 95%CI: 1.05-1.22,P=0.001), MFG-E8 (OR=1.04, 95%CI: 1.01-1.07,P=0.003), CXCL9 (OR=1.05, 95%CI: 1.02-1.08,P=0.001) were risk factors for infection after TACE in elderly patients with liver cancer. Based on skin or mucosa damage, PCT, MFG-E8 and CXCL9, a nomogram prediction model for postoperative infection in elderly patients with liver cancer after TACE intervention was established. Calibration curve showed that the C-index of postoperative infection predicted by the nomogram model in elderly patients with liver cancer after TACE intervention was 0.939, indicating the model had good discrimination. ROC curve analysis showed that the area under the curve (AUC) predicted by the nomogram model for infection after TACE intervention in elderly patients with liver cancer was 0.960 (95%CI: 0.926-0.995,P<0.001), which had certain predictive value. The specificity, sensitivity and Youden index were 0.864, 0.944 and 0.808, respectively.ConclusionsSkin or mucosal damage, high levels of serum PCT, CXCL9 and MFG-E8 are closely related to postoperative infection in elderly patients with liver cancer after TACE, and the prediction model constructed based on this has better predictive performance for postoperative infection.

Key words:Liver neoplasms,Transhepatic arterial chemoembolization,Postoperative infection,Procalcitonin,Milk fat globule-epidermal growth factor 8,CXC chemokine ligand 9

Baidu
map