
Journal of International Oncology ›› 2023, Vol. 50 ›› Issue (10): 600-607.doi: 10.3760/cma.j.cn371439-20230704-00114
• Original Articles • Previous Articles Next Articles
Jiang Shan, Xu Yangtao, Liu Xin, Chen Wenliang, Xu Ximing(
)
Received:2023-07-04
Revised:2023-09-11
Online:2023-10-08
Published:2023-11-08
Contact:
Xu Ximing
E-mail:doctorxu120@aliyun.com
Jiang Shan, Xu Yangtao, Liu Xin, Chen Wenliang, Xu Ximing. Predictive value of baseline peripheral blood inflammatory biomarkers for prognosis in patients with advanced hepatocellular carcinoma treated with immunotherapy combined with targeted therapy[J]. Journal of International Oncology, 2023, 50(10): 600-607.
"
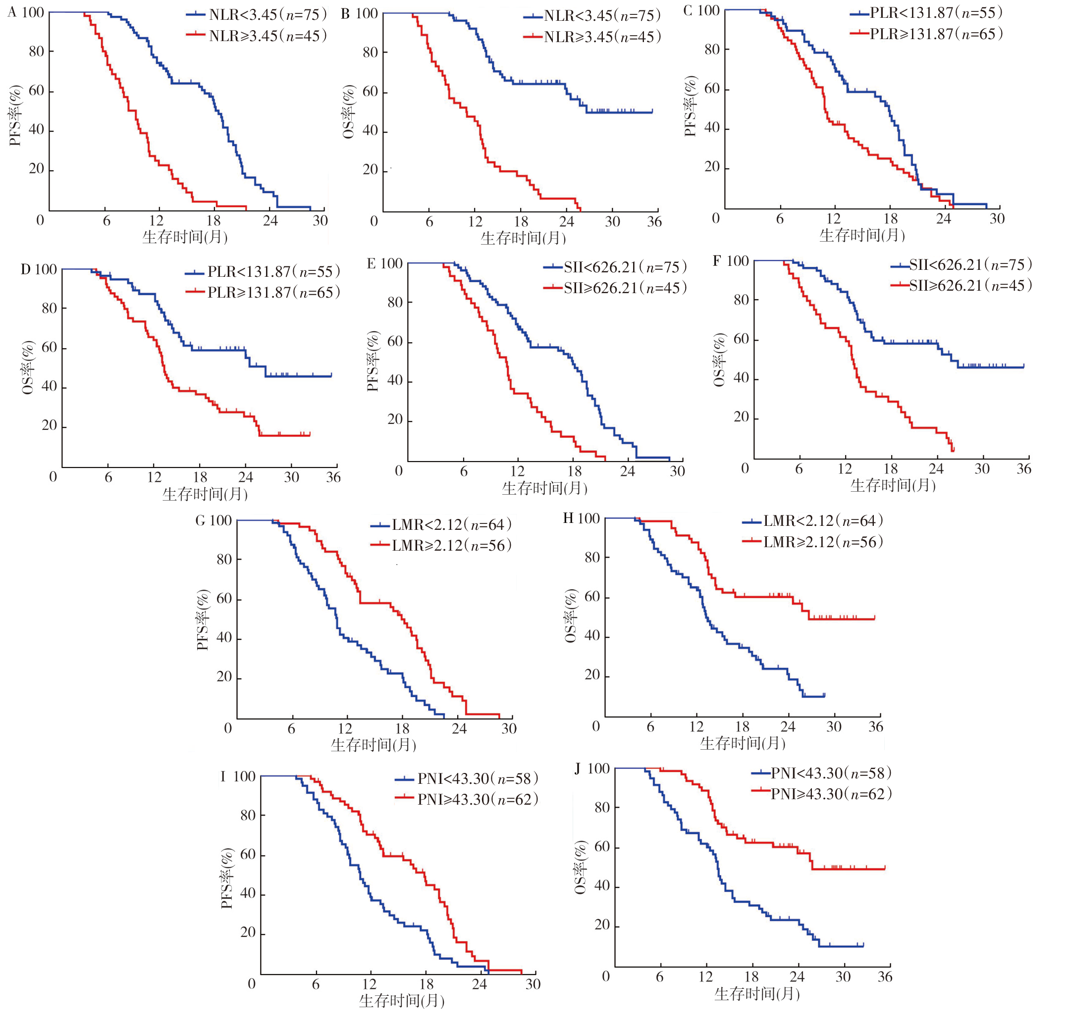
| 因素 | 单因素分析 | 多因素分析 | |||||
|---|---|---|---|---|---|---|---|
| HR值 | 95%CI | P值 | HR值 | 95%CI | P值 | ||
| 性别(男/女) | 1.15 | 0.96~1.92 | 0.584 | - | - | - | |
| 年龄(≥60岁/<60岁) | 0.99 | 0.97~1.01 | 0.445 | - | - | - | |
| BCLC分期(C/B) | 1.83 | 1.17~2.87 | 0.008 | 0.98 | 0.56~1.73 | 0.954 | |
| Child-Pugh分级(B/A) | 2.21 | 1.47~3.34 | <0.001 | 1.28 | 0.77~2.12 | 0.342 | |
| ECOG PS评分(1/0) | 1.44 | 0.98~2.12 | 0.066 | - | - | - | |
| mALBI分级(2b/2a/1) | 1.35 | 1.01~1.81 | 0.045 | 0.73 | 0.46~1.15 | 0.178 | |
| AFP(≥400 ng/ml/<400 ng/ml) | 1.33 | 0.89~1.97 | 0.161 | - | - | - | |
| PIVKA-Ⅱ(≥40 ng/ml/<40 ng/ml) | 1.47 | 0.94~2.28 | 0.089 | - | - | - | |
| 肝炎病毒感染(有/无) | 1.25 | 0.78~2.00 | 0.347 | - | - | - | |
| 肝外转移(有/无) | 2.18 | 1.47~3.25 | <0.001 | 1.78 | 1.10~2.87 | 0.018 | |
| 门静脉侵犯(有/无) | 1.46 | 0.99~2.17 | 0.058 | - | - | - | |
| 既往治疗(无/TACE/手术/化疗) | 1.17 | 0.94~1.44 | 0.153 | - | - | - | |
| NLR(≥3.45/<3.45) | 1.40 | 1.28~1.54 | <0.001 | 1.46 | 1.24~1.73 | <0.001 | |
| PLR(≥131.87/<131.87) | 1.00 | 1.00~1.01 | 0.001 | 1.00 | 0.99~1.00 | 0.119 | |
| SII(≥626.21/<626.21) | 1.00 | 1.00~1.00 | <0.001 | 1.00 | 1.00~1.00 | 0.316 | |
| LMR(<2.12/≥2.12) | 0.64 | 0.51~0.79 | <0.001 | 0.81 | 0.62~1.06 | 0.122 | |
| PNI(<43.30/≥43.30) | 0.95 | 0.93~0.98 | 0.001 | 0.97 | 0.92~1.02 | 0.184 | |
"
| 因素 | 单因素分析 | 多因素分析 | |||||
|---|---|---|---|---|---|---|---|
| HR值 | 95%CI | P值 | HR值 | 95%CI | P值 | ||
| 性别(男/女) | 1.37 | 0.72~2.59 | 0.339 | - | - | - | |
| 年龄(≥60岁/<60岁) | 1.00 | 0.97~1.02 | 0.862 | - | - | - | |
| BCLC分期(C/B) | 2.18 | 1.21~3.91 | 0.009 | 0.82 | 0.39~1.72 | 0.599 | |
| Child-Pugh分级(B/A) | 2.57 | 1.61~4.09 | <0.001 | 1.46 | 0.74~2.86 | 0.277 | |
| ECOG PS评分(1/0) | 1.59 | 1.01~2.51 | 0.044 | 0.69 | 0.38~1.27 | 0.238 | |
| mALBI分级(2b/2a/1) | 1.60 | 1.17~2.17 | 0.003 | 0.73 | 0.45~1.19 | 0.209 | |
| AFP(≥400 ng/ml/<400 ng/ml) | 1.09 | 0.69~1.73 | 0.709 | - | - | - | |
| PIVKA-Ⅱ(≥40 ng/ml/<40 ng/ml) | 1.62 | 0.93~2.82 | 0.089 | - | - | - | |
| 肝炎病毒感染(有/无) | 1.24 | 0.70~2.18 | 0.465 | - | - | - | |
| 肝外转移(有/无) | 2.51 | 1.59~3.96 | <0.001 | 2.09 | 1.21~3.61 | 0.009 | |
| 门静脉侵犯(有/无) | 1.51 | 0.94~2.41 | 0.088 | - | - | - | |
| 既往治疗(无/TACE/手术/化疗) | 1.11 | 0.88~1.41 | 0.388 | - | - | - | |
| NLR(≥3.45/<3.45) | 1.45 | 1.32~1.60 | <0.001 | 1.56 | 1.29~1.88 | <0.001 | |
| PLR(≥131.87/<131.87) | 1.01 | 1.01~1.01 | <0.001 | 1.00 | 0.99~1.00 | 0.557 | |
| SII(≥626.21/<626.21) | 1.01 | 1.01~1.01 | <0.001 | 1.00 | 1.00~1.00 | 0.025 | |
| LMR(<2.12/≥2.12) | 0.57 | 0.40~0.72 | <0.001 | 0.59 | 0.45~0.78 | 0.008 | |
| PNI(<43.30/≥43.30) | 0.92 | 0.89~0.96 | <0.001 | 0.93 | 0.88~0.99 | 0.013 | |
| [1] |
Vogel A, Meyer T, Sapisochin G, et al. Hepatocellular carcinoma[J]. Lancet, 2022, 400(10360): 1345-1362. DOI: 10.1016/s0140-6736(22)01200-4.
pmid: 36084663 |
| [2] | Qin S, Chan LS, Gu S, et al. LBA 35 camrelizumab (C) plus rivo-ceranib (R) vs. sorafenib (S) as first-line therapy for unresectable hepatocellular carcinoma (uHCC): a randomized, phase Ⅲ trial[J]. Ann Oncol, 2022, 33(Suppl 7): S1401-S1402. DOI: 10.1016/j.annonc.2022.08.032. |
| [3] | Finn RS, Qin S, Ikeda M, et al. Atezolizumab plus bevacizumab in unresectable hepatocellular carcinoma[J]. N Engl J Med, 2020, 382(20): 1894-1905. DOI: 10.1056/NEJMoa1915745. |
| [4] | Ren Z, Xu J, Bai Y, et al. Sintilimab plus a bevacizumab biosimilar (IBI305) versus sorafenib in unresectable hepatocellular carcinoma (ORIENT-32): a randomised, open-label, phase 2-3 study[J]. Lancet Oncol, 2021, 22(7): 977-990. DOI: 10.1016/S1470-2045(21)00252-7. |
| [5] | Xu Y, Yuan X, Zhang X, et al. Prognostic value of inflammatory and nutritional markers for hepatocellular carcinoma[J]. Medicine (Baltimore), 2021, 100(25): e26506. DOI: 10.1097/MD.0000000000026506. |
| [6] | Minici R, Siciliano MA, Ammendola M, et al. Prognostic role of neutrophil-to-lymphocyte ratio (NLR), lymphocyte-to-monocyte ratio (LMR), platelet-to-lymphocyte ratio (PLR) and lymphocyte-to-C reactive protein ratio (LCR) in patients with hepatocellular carcinoma (HCC) undergoing chemoembolizations (TACE) of the liver: the unexplored corner linking tumor microenvironment, biomarkers and interventional radiology[J]. Cancers (Basel), 2022, 15(1): 257. DOI: 10.3390/cancers15010257. |
| [7] | Wang D, Hu X, Xiao L, et al. Prognostic nutritional index and systemic immune-inflammation index predict the prognosis of patients with HCC[J]. J Gastrointest Surg, 2021, 25(2): 421-427. DOI: 10.1007/s11605-019-04492-7. |
| [8] | Finn RS, Kudo M, Merle P, et al. LBA34 primary results from the phase Ⅲ LEAP-002 study: lenvatinib plus pembrolizumab versus lenvatinib as first-line (1L) therapy for advanced hepatocellular carcinoma[J]. Ann Oncol, 2022, 33(Suppl 7): S1401. DOI: 10.1016/j.annonc.2022.08.031. |
| [9] | Abou-Alfa GK, Chan SL, Kudo M, et al. Phase 3 randomized, open-label, multicenter study of tremelimumab (T) and durvalumab (D) as first-line therapy in patients (pts) with unresectable hepatocellular carcinoma (uHCC): HIMALAYA[J]. J Clin Oncol, 2022, 40(Suppl 4): 379. DOI: 10.1200/JCO.2022.40.4_suppl.379. |
| [10] | Kelley RK, Yau T, Cheng AL, et al. VP10-2021: cabozantinib (C) plus atezolizumab (a) versus sorafenib (S) as first-line systemic treatment for advanced hepatocellular carcinoma (aHCC): results from the randomized phase Ⅲ COSMIC-312 trial[J]. Ann Oncol, 2022, 33(1): 114-116. DOI: 10.1016/j.annonc.2021.10.008. |
| [11] | Liao CP, Booker RC, Brosseau JP, et al. Contributions of inflammation and tumor microenvironment to neurofibroma tumorigenesis[J]. J Clin Invest, 2018, 128(7): 2848-2861. DOI: 10.1172/JCI99424. |
| [12] |
Liu C, Zhao H, Zhang R, et al. Prognostic value of nutritional and inflammatory markers in patients with hepatocellular carcinoma who receive immune checkpoint inhibitors[J]. Oncol Lett, 2023, 26(4): 437. DOI: 10.3892/ol.2023.14024.
pmid: 37664652 |
| [13] | Hung HC, Lee JC, Wang YC, et al. Living-donor liver transplantation for hepatocellular carcinoma: impact of the MELD score and predictive value of NLR on survival[J]. Curr Oncol, 2022, 29(6): 3881-3893. DOI: 10.3390/curroncol29060310. |
| [14] |
Wang Y, Peng C, Cheng Z, et al. The prognostic significance of preoperative neutrophil-lymphocyte ratio in patients with hepatocellular carcinoma receiving hepatectomy: a systematic review and meta-analysis[J]. Int J Surg, 2018, 55: 73-80. DOI: 10.1016/j.ijsu.2018.05.022.
pmid: 29787804 |
| [15] |
Schobert IT, Savic LJ, Chapiro J, et al. Neutrophil-to-lymphocyte and platelet-to-lymphocyte ratios as predictors of tumor response in hepatocellular carcinoma after DEB-TACE[J]. Eur Radiol, 2020, 30(10): 5663-5673. DOI: 10.1007/s00330-020-06931-5.
pmid: 32424595 |
| [16] | Shen Y, Wang H, Chen X, et al. Prognostic significance of lymphocyte-to-monocyte ratio and platelet-to-lymphocyte ratio in patients with hepatocellular carcinoma undergoing transcatheter arterial chemoembolization and radiofrequency ablation[J]. Onco Targets Ther, 2019, 12: 7129-7137. DOI: 10.2147/OTT.S217935. |
| [17] | Wu YL, Fulgenzi CAM, D'Alessio A, et al. Neutrophil-to-lymphocyte and platelet-to-lymphocyte ratios as prognostic biomarkers in unresectable hepatocellular carcinoma treated with atezolizumab plus bevacizumab[J]. Cancers (Basel), 2022, 14(23): 5834. DOI: 10.3390/cancers14235834. |
| [18] | Mano Y, Yoshizumi T, Yugawa K, et al. Lymphocyte-to-monocyte ratio is a predictor of survival after liver transplantation for hepatocellular carcinoma[J]. Liver Transpl, 2018, 24(11): 1603-1611. DOI: 10.1002/lt.25204. |
| [19] | Tian Y, Ma L, Zhang P, et al. Prognostic value of systemic immune-inflammation index/albumin for transcatheter arterial chemoembolization treatment[J]. Heliyon, 2023, 9(4): e15156. DOI: 10. 1016/j.heliyon.2023.e15156. |
| [20] | Caputo F, Dadduzio V, Tovoli F, et al. The role of PNI to predict survival in advanced hepatocellular carcinoma treated with Sorafenib[J]. PLoS One, 2020, 15(5): e0232449. DOI: 10.1371/journal.pone.0232449. |
| [1] | Qian Xiaotao, Shi Ziyi, Hu Ge, Wu Xiaowei. Efficacy of consolidation chemotherapy after radical radiotherapy and chemotherapy for stage Ⅲ-ⅣA esophageal squamous cell carcinoma: a real-world clinical study [J]. Journal of International Oncology, 2024, 51(6): 326-331. |
| [2] | Yang Mi, Bie Jun, Zhang Jiayong, Deng Jiaxiu, Tang Zuge, Lu Jun. Analysis of the efficacy and prognosis of neoadjuvant therapy for locally advanced resectable esophageal cancer [J]. Journal of International Oncology, 2024, 51(6): 332-337. |
| [3] | Xu Fenglin, Wu Gang. Research progress of EBV in tumor immune microenvironment and immunotherapy of nasopharyngeal carcinoma [J]. Journal of International Oncology, 2024, 51(6): 359-363. |
| [4] | Wang Ying, Liu Nan, Guo Bing. Advances of antibody-drug conjugate in the therapy of metastatic breast cancer [J]. Journal of International Oncology, 2024, 51(6): 364-369. |
| [5] | Gao Fan, Wang Ping, Du Chao, Chu Yanliu. Research progress on intestinal flora and non-surgical treatment of the colorectal cancer [J]. Journal of International Oncology, 2024, 51(6): 376-381. |
| [6] | Fan Zhipeng, Yu Jing, Hu Jing, Liao Zhengkai, Xu Yu, Ouyang Wen, Xie Conghua. Predictive value of changes in inflammatory markers for prognosis in patients with advanced non-small cell lung cancer treated with the first-line immunotherapy plus chemotherapy [J]. Journal of International Oncology, 2024, 51(5): 257-266. |
| [7] | Yang Lin, Lu Ning, Wen Hua, Zhang Mingxin, Zhu Lin. Study on the clinical relationship between inflammatory burden index and gastric cancer [J]. Journal of International Oncology, 2024, 51(5): 274-279. |
| [8] | Wang Peixin, Zhao Jun, Xu Shihong, Jiang Zhaoyang, Wang Xiaoqiang, Yang Hongjuan. Progress of ferroptosis-related mechanisms in osteosarcoma [J]. Journal of International Oncology, 2024, 51(5): 308-311. |
| [9] | Liu Pingping, He Xuefang, Zhang Yi, Yang Xu, Zhang Shanshan, Ji Yifei. Risk factors of postoperative recurrence in patients with primary brain glioma and prediction model construction [J]. Journal of International Oncology, 2024, 51(4): 193-197. |
| [10] | Wan Fang, Yang Gang, Li Rui, Wan Qijing. Expression levels and clinical significance of serum miR-497 and miR-383 in patients with esophageal cancer [J]. Journal of International Oncology, 2024, 51(4): 204-209. |
| [11] | Yang Hao, Shi Guidong, Zhang Chengcheng, Zhang Yue, Zhang Liwen, Fu Maoyong. Comparison of efficacy and safety between sintilimab and tislelizumab in neoadjuvant therapy for advanced esophageal squamous cell carcinoma [J]. Journal of International Oncology, 2024, 51(4): 210-216. |
| [12] | Yao Yixin, Shen Yulin. Predictive value of serum SOCS3 and TXNIP levels for the prognosis of patients with hepatocellular carcinoma treated with TACE [J]. Journal of International Oncology, 2024, 51(4): 217-222. |
| [13] | Sa Qiang, Xu Hangcheng, Wang Jiayu. Advances in immunotherapy for breast cancer [J]. Journal of International Oncology, 2024, 51(4): 227-234. |
| [14] | Yang Zhi, Lu Yiqiao, Gu Huayan, Ding Jialing, Guo Guilong. Research progress of tumor microenvironment mediated drug resistance in targeted therapy of breast cancer [J]. Journal of International Oncology, 2024, 51(4): 235-238. |
| [15] | Sun Weiwei, Yao Xuemin, Wang Pengjian, Wang Jing, Jia Jinghao. Exploration of prognostic factors and nomogram construction for advanced non-small cell lung cancer treated with immunotherapy based on hematologic indexes [J]. Journal of International Oncology, 2024, 51(3): 143-150. |
| Viewed | ||||||
|
Full text |
|
|||||
|
Abstract |
|
|||||