


国际肿瘤学杂志››2025,Vol. 52››Issue (3): 144-151.doi:10.3760/cma.j.cn371439-20241113-00022
来瑞鹤1, 滕月1, 戎剑2, 盛丹丹3, 耿羽智3, 陈建新2, 蒋冲4, 丁重阳5, 周正扬6(
)
收稿日期:2024-11-13修回日期:2025-01-03出版日期:2025-03-08发布日期:2025-04-02通讯作者:周正扬,Email:zyzhou@nju.edu.cn基金资助:
Lai Ruihe1, Teng Yue1, Rong Jian2, Sheng Dandan3, Geng Yuzhi3, Chen Jianxin2, Jiang Chong4, Ding Chongyang5, Zhou Zhengyang6(
)
Received:2024-11-13Revised:2025-01-03Online:2025-03-08Published:2025-04-02Contact:Zhou Zhengyang,Email:
Supported by:
摘要:
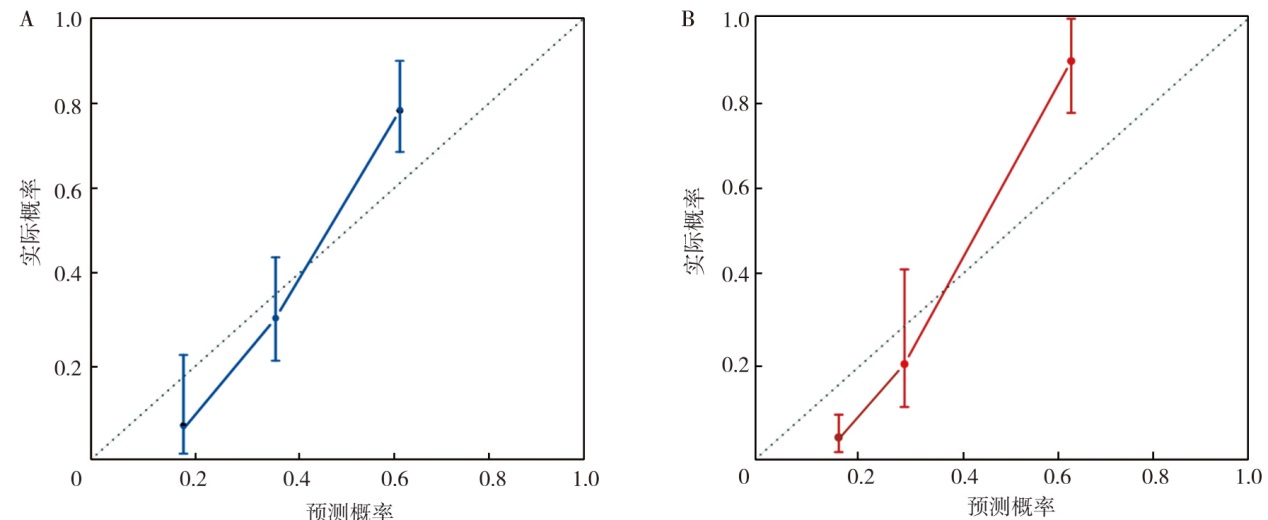
目的评估基于原发灶18F-氟代脱氧葡萄糖(18F-FDG)PET/CT影像组学联合模型预测非小细胞肺癌(NSCLC)淋巴结转移的价值。方法回顾性分析南京鼓楼医院2013年6月至2023年7月治疗前行PET/CT显像的203例NSCLC患者的临床资料。按照7∶3比例将患者随机分为训练集(n=142)和验证集(n=61)。在训练集中建立预测模型, 在训练集和验证集中分别对模型进行预测效能评估和临床应用价值验证。通过3D-slicer软件获得原发灶传统PET/CT参数和PET/CT影像组学特征。采用最小绝对收缩与选择算子(LASSO)、随机森林和极端梯度提升进行特征提取。采用支持向量机构建影像组学标签影像组学评分(Radscore)。采用单因素、多因素logistic回归分析预测NSCLC患者淋巴结转移的影响因素并建立模型, 采用受试者操作特征(ROC)曲线评估模型的预测效能, 采用校准曲线和临床决策曲线(DCA)评估模型的临床应用价值。结果203例NSCLC患者中淋巴结转移116例, 其中训练集64例、验证集52例。采用3种互补的经典机器学习方法进行特征筛选, 最终分别得到10个影像组学特征。Radscore-PET的最佳阈值为0.43, Radscore-CT的最佳阈值为0.39。单因素分析显示, 性别(OR=0.48, 95%CI为0.24~0.95,P=0.036)、肿瘤标志物水平(OR=3.81, 95%CI为1.84~7.91,P<0.001)、肿瘤长径(OR=2.56, 95%CI为1.27~5.16,P=0.009)、肿瘤短径(OR=3.73, 95%CI为1.75~7.92,P=0.001)、空泡征(OR=0.32, 95%CI为0.12~0.86,P=0.024)、环形代谢(OR=3.67, 95%CI为1.33~10.13,P=0.012)、最大标准化摄取值(SUVmax)(OR=6.57, 95%CI为3.03~14.25,P<0.001)、肿瘤代谢体积(MTV)(OR=2.91, 95%CI为1.43~5.92,P=0.003)、病灶糖酵解总量(TLG)(OR=4.23, 95%CI为2.08~8.59,P<0.001)、Radscore-PET(OR=21.93, 95%CI为9.04~53.20,P<0.001)和Radscore-CT(OR=13.72, 95%CI为6.12~30.76,P<0.001)均是预测NSCLC患者淋巴结转移的影响因素。多因素分析显示, 肿瘤标志物水平(OR=2.55, 95%CI为1.11~5.90,P=0.028)、空泡征(OR=0.26, 95%CI为0.08~0.83,P=0.023)、SUVmax(OR=5.94, 95%CI为1.99~17.75,P=0.001)、Radscore-PET(OR=25.51, 95%CI为5.92~110.22,P<0.001)、Radscore-CT(OR=8.68, 95%CI为2.73~27.61,P<0.001)均是预测NSCLC患者淋巴结转移的独立影响因素。基于上述独立影响因素建立模型:传统模型(肿瘤标志物水平、空泡征、SUVmax)、PET模型(SUVmax、Radscore-PET)、CT模型(空泡征、Radscore-CT)和联合模型(肿瘤标志物水平、空泡征、SUVmax、Radscore-PET、Radscore-CT)。ROC曲线分析显示, 训练集中传统模型、PET模型、CT模型和联合模型的曲线下面积(AUC)分别为0.75(95%CI为0.67~0.82)、0.90(95%CI为0.84~0.95)、0.85(95%CI为0.78~0.90)和0.94(95%CI为0.88~0.97), 联合模型的预测价值高于传统模型(Z=5.01,P<0.001)、PET模型(Z=1.99,P=0.047)、CT模型(Z=3.25,P=0.001);验证集中传统模型、PET模型、CT模型和联合模型的AUC分别为0.65(95%CI为0.52~0.77)、0.86(95%CI为0.74~0.93)、0.85(95%CI为0.73~0.93)和0.90(95%CI为0.80~0.96), 联合模型的预测价值高于传统模型(Z=3.23,P=0.001)。训练集联合模型的敏感性和特异性分别为84.37%和91.03%, 验证集联合模型的敏感性和特异性分别为82.61%和94.74%。校准曲线显示, 训练集和验证集实际发生概率均与预测概率较为一致。DCA显示, 联合模型的辨别能力在训练集和验证集中均较好。结论肿瘤标志物水平、空泡征、SUVmax、Radscore-PET、Radscore-CT均是预测NSCLC患者淋巴结转移的独立影响因素, 基于上述指标构建的联合模型对NSCLC淋巴结转移具有良好的预测效能和临床应用价值。
来瑞鹤, 滕月, 戎剑, 盛丹丹, 耿羽智, 陈建新, 蒋冲, 丁重阳, 周正扬. 基于18F-FDG PET/CT原发灶影像组学的联合模型预测NSCLC淋巴结转移的价值[J]. 国际肿瘤学杂志, 2025, 52(3): 144-151.
Lai Ruihe, Teng Yue, Rong Jian, Sheng Dandan, Geng Yuzhi, Chen Jianxin, Jiang Chong, Ding Chongyang, Zhou Zhengyang. Predictive value of a combined model for lymph node metastasis in NSCLC based on primary lesion radiomics from18F-FDG PET/CT[J]. Journal of International Oncology, 2025, 52(3): 144-151.
表1
训练集和验证集NSCLC患者一般临床资料和PET/CT传统特征比较[例(%)]"
| 项目 | 训练集(n=142) | 验证集(n=61) | χ²值 | P值 | 项目 | 训练集(n=142) | 验证集(n=61) | χ²值 | P值 |
|---|---|---|---|---|---|---|---|---|---|
| 年龄(岁) | 钙化 | ||||||||
| ≤60 | 45(31.69) | 23(37.70) | 0.69 | 0.405 | 无 | 136(95.77) | 58(95.08) | <0.01 | >0.999 |
| >60 | 97(68.31) | 38(62.30) | 有 | 6(4.23) | 3(4.92) | ||||
| 性别 | 毛刺征 | ||||||||
| 男 | 84(59.15) | 35(57.38) | 0.06 | 0.814 | 无 | 14(9.86) | 6(9.84) | <0.01 | 0.996 |
| 女 | 58(40.85) | 26(42.62) | 有 | 128(90.14) | 55(90.16) | ||||
| 吸烟史 | 分叶征 | ||||||||
| 无 | 101(71.13) | 47(77.05) | 0.76 | 0. 384 | 无 | 24(16.90) | 8(13.11) | 0.46 | 0.497 |
| 有 | 41(28.87) | 14(22.95) | 有 | 118(83.10) | 53(86.89) | ||||
| 饮酒史 | 血管集束征 | ||||||||
| 无 | 122(85.92) | 56(91.80) | 1.37 | 0.242 | 无 | 99(69.72) | 41(67.21) | 0.13 | 0.724 |
| 有 | 20(14.08) | 5(8.20) | 有 | 43(30.28) | 20(32.79) | ||||
| 肿瘤标志物水平 | 空泡征 | ||||||||
| 正常 | 57(40.14) | 20(32.79) | 0.98 | 0.322 | 无 | 117(82.39) | 48(78.69) | 0.39 | 0.535 |
| 升高a | 85(59.86) | 41(67.21) | 有 | 25(17.61) | 13(21.31) | ||||
| 病理类型 | 环形代谢 | ||||||||
| 鳞状细胞癌 | 105(73.94) | 45(73.77) | <0.01 | 0.979 | 无 | 121(85.21) | 57(93.44) | 2.68 | 0.102 |
| 腺癌 | 37(26.06) | 16(26.23) | 有 | 21(14.79) | 4(6.56) | ||||
| 肿瘤位置 | SUVmax | ||||||||
| 右叶 | 80(56.34) | 45(73.77) | 5.48 | 0.019 | ≤7.83 | 59(41.55) | 25(40.98) | 0.01 | 0.940 |
| 左叶 | 62(43.66) | 16(26.23) | >7.83 | 83(58.45) | 36(59.02) | ||||
| 外周型/中央型 | MTV(cm3) | ||||||||
| 外周型 | 127(89.44) | 55(90.16) | 0.02 | 0.876 | ≤4.64 | 57(40.14) | 25(40.98) | 0.01 | 0.911 |
| 中央型 | 15(10.56) | 6(9.84) | >4.64 | 85(59.86) | 36(59.02) | ||||
| 肿瘤长径(cm) | TLG(g) | ||||||||
| ≤2.35 | 57(40.14) | 27(44.26) | 0.30 | 0.585 | ≤24.81 | 69(48.59) | 30(49.18) | 0.01 | 0.939 |
| >2.35 | 85(59.86) | 34(55.74) | >24.81 | 73(51.41) | 31(50.82) | ||||
| 肿瘤短径(cm) | |||||||||
| ≤1.77 | 51(35.92) | 32(52.46) | 4.83 | 0.028 | |||||
| >1.77 | 91(64.08) | 29(47.54) |
表2
影响预测训练集142例NSCLC患者淋巴结转移的单因素logistic回归分析"
| 变量 | β值 | SE值 | Waldχ²值 | OR值 | 95%CI | P值 |
|---|---|---|---|---|---|---|
| 年龄 | -0.36 | 0.36 | 0.97 | 0.70 | 0.34~1.42 | 0.325 |
| 性别 | -0.74 | 0.35 | 4.38 | 0.48 | 0.24~0.95 | 0.036 |
| 吸烟史 | 0.49 | 0.37 | 1.70 | 1.63 | 0.78~3.38 | 0.192 |
| 饮酒史 | 0.46 | 0.49 | 0.92 | 1.59 | 0.62~4.12 | 0.338 |
| 肿瘤标志物水平a | 1.34 | 0.37 | 12.91 | 3.81 | 1.84~7.91 | <0.001 |
| 病理类型 | 0.49 | 0.39 | 1.62 | 1.63 | 0.78~3.47 | 0.203 |
| 肿瘤位置 | 0.35 | 0.34 | 1.08 | 1.42 | 0.73~2.78 | 0.299 |
| 外周型/中央型 | 0.68 | 0.56 | 1.47 | 1.96 | 0.66~5.85 | 0.225 |
| 肿瘤长径 | 0.94 | 0.36 | 6.85 | 2.56 | 1.27~5.16 | 0.009 |
| 肿瘤短径 | 1.32 | 0.39 | 11.71 | 3.73 | 1.75~7.92 | 0.001 |
| 钙化 | 1.88 | 1.11 | 2.86 | 6.53 | 0.74~57.36 | 0.091 |
| 毛刺征 | -0.22 | 0.56 | 0.15 | 0.80 | 0.27~2.42 | 0.697 |
| 分叶征 | -0.24 | 0.45 | 0.28 | 0.79 | 0.33~1.90 | 0.595 |
| 血管集束征 | -0.46 | 0.37 | 1.53 | 0.63 | 0.30~1.31 | 0.216 |
| 空泡征 | -1.14 | 0.50 | 5.09 | 0.32 | 0.12~0.86 | 0.024 |
| 环形代谢 | 1.30 | 0.52 | 6.33 | 3.67 | 1.33~10.13 | 0.012 |
| SUVmax | 1.88 | 0.40 | 22.70 | 6.57 | 3.03~14.25 | <0.001 |
| MTV | 1.07 | 0.36 | 8.68 | 2.91 | 1.43~5.92 | 0.003 |
| TLG | 1.44 | 0.36 | 15.93 | 4.23 | 2.08~8.59 | <0.001 |
| Radscore-PET | 3.02 | 0.45 | 46.62 | 21.93 | 9.04~53.20 | <0.001 |
| Radscore-CT | 2.62 | 0.41 | 40.44 | 13.72 | 6.12~30.76 | <0.001 |
表3
影响预测训练集142例NSCLC患者淋巴结转移的多因素logistic分析"
| 变量 | β值 | SE值 | Waldχ²值 | OR值 | 95%CI | P值 |
|---|---|---|---|---|---|---|
| 性别 | -0.65 | 0.44 | 2.24 | 0.52 | 0.22~1.22 | 0.134 |
| 肿瘤标志物水平a | 0.94 | 0.43 | 4.81 | 2.55 | 1.11~5.90 | 0.028 |
| 肿瘤长径 | -0.75 | 0.83 | 0.82 | 0.47 | 0.09~2.39 | 0.365 |
| 肿瘤短径 | 0.31 | 0.76 | 0.17 | 1.37 | 0.31~6.11 | 0.681 |
| 空泡征 | -1.37 | 0.60 | 5.20 | 0.26 | 0.08~0.83 | 0.023 |
| 环形代谢 | 0.01 | 0.63 | <0.01 | 1.01 | 0.29~3.50 | 0.983 |
| SUVmax | 1.78 | 0.56 | 10.19 | 5.94 | 1.99~17.75 | 0.001 |
| MTV | 0.69 | 0.69 | 1.00 | 1.20 | 0.52~7.71 | 0.316 |
| TLG | 0.14 | 0.77 | 0.03 | 1.15 | 0.26~5.19 | 0.856 |
| Radscore-PET | 3.24 | 0.75 | 18.87 | 25.51 | 5.92~110.22 | <0.001 |
| Radscore-CT | 2.16 | 0.59 | 13.39 | 8.68 | 2.73~27.61 | <0.001 |
表4
4种模型预测NSCLC患者淋巴结转移的价值"
| 分组 | 模型 | AUC | 95%CI | 敏感性(%) | 特异性(%) | 准确性(%) |
|---|---|---|---|---|---|---|
| 训练集 | 传统模型 | 0.75a | 0.67~0.82 | 57.81 | 84.62 | 63.38 |
| PET模型 | 0.90b | 0.84~0.95 | 89.06 | 78.21 | 79.58 | |
| CT模型 | 0.85c | 0.78~0.90 | 90.62 | 67.95 | 77.46 | |
| 联合模型 | 0.94 | 0.88~0.97 | 84.37 | 91.03 | 84.51 | |
| 验证集 | 传统模型 | 0.65d | 0.52~0.77 | 91.30 | 47.37 | 62.30 |
| PET模型 | 0.86e | 0.74~0.93 | 78.26 | 76.32 | 78.69 | |
| CT模型 | 0.85f | 0.73~0.93 | 78.26 | 94.74 | 81.97 | |
| 联合模型 | 0.90 | 0.80~0.96 | 82.61 | 94.74 | 83.61 |
| [1] | Sun J, Wu S, Jin Z, et al. Lymph node micrometastasis in non-small cell lung cancer[J].Biomed Pharmacother,2022,149: 112817. DOI:10.1016/j.biopha.2022.112817. |
| [2] | Siegel RL, Miller KD, Wagle NS, et al. Cancer statistics, 2023[J].CA Cancer J Clin,2023,73(1): 17-48. DOI:10.3322/caac.21763. |
| [3] | Hua J, Li L, Liu L, et al. The diagnostic value of metabolic, morphological and heterogeneous parameters of18F-FDG PET/CT in mediastinal lymph node metastasis of non-small cell lung cancer[J].Nucl Med Commun,2021,42(11): 1247-1253. DOI:10.1097/MNM.0000000000001456. |
| [4] | Moon Y, Choi SY, Park JK, et al. Risk factors for occult lymph node metastasis in peripheral non-small cell lung cancer with invasive component size 3 cm or less[J].World J Surg,2020,44(5): 1658-1665. DOI:10.1007/s00268-019-05365-5. |
| [5] | Seol HY, Kim YS, Kim SJ. Predictive value of18F-fluorodeoxyglucose positron emission tomography or positron emission tomography/computed tomography for assessment of occult lymph node metastasis in non-small cell lung cancer[J].Oncology,2021,99(2): 96-104. DOI:10.1159/000509988. |
| [6] | Zhong Y, She Y, Deng J, et al. Deep learning for prediction of N2metastasis and survival for clinical stage Ⅰ non-small cell lung cancer[J].Radiology,2022,302(1): 200-211. DOI:10.1148/radiol.2021210902. |
| [7] | Xie Y, Zhao H, Guo Y, et al. A PET/CT nomogram incorporating SUVmax and CT radiomics for preoperative nodal staging in non-small cell lung cancer[J].Eur Radiol,2021,31(8): 6030-6038. DOI:10.1007/s00330-020-07624-9. pmid:33560457 |
| [8] | Vansteenkiste J, De Ruysscher D, Eberhardt WE, et al. Early and locally advanced non-small-cell lung cancer (NSCLC): ESMO clinical practice guidelines for diagnosis, treatment and follow-up[J].Ann Oncol,2013,24 Suppl 6: vi89-vi98. DOI:10.1093/annonc/mdt241. |
| [9] | Nicholson AG, Chansky K, Crowley J, et al. The international association for the study of lung cancer lung cancer staging project: proposals for the revision of the clinical and pathologic staging of small cell lung cancer in the forthcoming eighth edition of the TNM classification for lung cancer[J].J Thorac Oncol,2016,11(3): 300-311. DOI:10.1016/j.jtho.2015.10.008. pmid:26723244 |
| [10] | Postmus PE, Kerr KM, Oudkerk M, et al. Early and locally advanced non-small-cell lung cancer (NSCLC): ESMO clinical practice guidelines for diagnosis, treatment and follow-up[J].Ann Oncol,2017,28(suppl_4): iv1-iv21. DOI:10.1093/annonc/mdx222. |
| [11] | Fang C, Xiang Y, Han W. Preoperative risk factors of lymph node metastasis in clinical N0lung adenocarcinoma of 3 cm or less in diameter[J].BMC Surg,2022,22(1): 153. DOI:10.1186/s12893-022-01605-z. |
| [12] | Zheng Y, Ju S, Huang R, et al. Lymph node metastasis risk factors in clinical stage ⅠA3 lung adenocarcinoma[J].J Cancer Res Ther,2023,19(1): 34-38. DOI:10.4103/jcrt.jcrt_1370_22. |
| [13] | 王清北, 朱林, 吴正国. NSCLC肺内叶段淋巴结转移规律及全胸腔镜肺叶切除术中淋巴结清扫方式的选择[J].国际肿瘤学杂志,2024,51(9): 569-577. DOI:10.3760/cma.j.cn371439-20240422-00095. |
| [14] | Zhai X, Guo Y, Qian X. Combination of fluorine-18 fluorodeoxyglucose positron-emission tomography/computed tomography (18F-FDG PET/CT) and tumor markers to diagnose lymph node metastasis in non-small cell lung cancer (NSCLC): a retrospective and prospective study[J].Med Sci Monit,2020,26: e922675. DOI:10.12659/MSM.922675. |
| [15] | Lederlin M, Puderbach M, Muley T, et al. Correlation of radio- and histomorphological pattern of pulmonary adenocarcinoma[J].Eur Respir J,2013,41(4): 943-951. DOI:10.1183/09031936.00056612. pmid:22835610 |
| [16] | Cong M, Yao H, Liu H, et al. Development and evaluation of a venous computed tomography radiomics model to predict lymph node metastasis from non-small cell lung cancer[J].Medicine (Baltimore),2020,99(18): e20074. DOI:10.1097/MD.0000000000020074. |
| [17] | Xu ZQ, Xie LJ, Fan W, et al. Risk factors for mediastinal lymph node metastasis in non-small-cell lung cancer by PET/CT[J].Nucl Med Commun,2014,35(5): 466-471. DOI:10.1097/MNM.0000000000000077. |
| [18] | Nakanishi K, Nakamura S, Sugiyama T, et al. Diagnostic utility of metabolic parameters on FDG PET/CT for lymph node metastasis in patients with cN2non-small cell lung cancer[J].BMC Cancer,2021,21(1): 983. DOI:10.1186/s12885-021-08688-6. pmid:34474680 |
| [19] | Huang Y, Jiang X, Xu H, et al. Preoperative prediction of mediastinal lymph node metastasis in non-small cell lung cancer based on18F-FDG PET/CT radiomics[J].Clin Radiol,2023,78(1): 8-17. DOI:10.1016/j.crad.2022.08.140. |
| [20] | 周见远.18F-FDG PET/CT影像组学在非小细胞肺癌的临床研究[D]. 武汉: 华中科技大学,2021. DOI:10.27157/d.cnki.ghzku.2021.000423. |
| [1] | 杨胜军, 任江, 杨丹, 龙宇, 商群献.非小细胞肺癌组织中miR-4262、NRG1的表达水平及临床意义[J]. 国际肿瘤学杂志, 2025, 52(3): 129-135. |
| [2] | 韩双.外周实性结节Ⅰ期肺腺癌脏层胸膜侵犯的CT特征分析及预测价值[J]. 国际肿瘤学杂志, 2025, 52(3): 136-143. |
| [3] | 王智颖, 盛立军.外周血标志物在非小细胞肺癌免疫治疗中的研究进展[J]. 国际肿瘤学杂志, 2025, 52(3): 180-185. |
| [4] | 叶永英, 邹艳, 陈天明, 吴伟莉.时钟基因Period家族在头颈鳞状细胞癌中的研究进展[J]. 国际肿瘤学杂志, 2025, 52(2): 113-118. |
| [5] | 陈茹雁, 付振明.晚期肾细胞癌的免疫治疗现状与进展[J]. 国际肿瘤学杂志, 2025, 52(2): 124-128. |
| [6] | 马培晗, 张灵敏, 李茜, 路宁, 温华, 张明鑫.ALKBH5对食管鳞状细胞癌恶性生物学行为的影响及相关机制研究[J]. 国际肿瘤学杂志, 2025, 52(2): 79-88. |
| [7] | 吴晓维, 胡格, 陈莉, 钱晓涛, 崔相利, 朱凤琴.放疗前肿瘤最大径、外周血NLR对食管鳞状细胞癌患者放疗后发生食管瘘的预测价值[J]. 国际肿瘤学杂志, 2025, 52(1): 38-42. |
| [8] | 余洋, 唐仕敏, 杨露, 李娜.pT2-3N0M0期胸段食管鳞状细胞癌治疗策略及预后影响因素研究进展[J]. 国际肿瘤学杂志, 2025, 52(1): 43-47. |
| [9] | 袁胜芳, 任婕, 林卫佳, 姬泽萱, 张长洪, 王布.EGFR共突变状态对晚期肺腺癌患者预后的价值研究[J]. 国际肿瘤学杂志, 2024, 51(9): 556-562. |
| [10] | 黄波, 汪鹏.血清sCD163、IFN-γ联合TGF-β1对NSCLC患者放疗后发生放射性肺炎的早期预测价值[J]. 国际肿瘤学杂志, 2024, 51(9): 563-568. |
| [11] | 王清北, 朱林, 吴正国.NSCLC肺内叶段淋巴结转移规律及全胸腔镜肺叶切除术中淋巴结清扫方式的选择[J]. 国际肿瘤学杂志, 2024, 51(9): 569-577. |
| [12] | 倪国英, 黄骞, 梁洪享, 杨志勇, 丁颖丽.晚期非小细胞肺癌患者血清miR-499、miR-362水平变化及与预后的关系分析[J]. 国际肿瘤学杂志, 2024, 51(8): 487-492. |
| [13] | 吕俊, 熊昊, 郑燕秋, 董礼.非小细胞肺癌患者放疗后肺部侵袭性真菌病发生危险因素及预测模型构建[J]. 国际肿瘤学杂志, 2024, 51(8): 493-497. |
| [14] | 王燕.经阴道超声弹性成像联合血清miR-144-3p、CMTM6在宫颈癌前病变和宫颈癌中的鉴别诊断价值[J]. 国际肿瘤学杂志, 2024, 51(8): 504-509. |
| [15] | 孟珂心, 陆海军.口腔菌群:口腔鳞状细胞癌诊断和预后的生物标志物[J]. 国际肿瘤学杂志, 2024, 51(8): 515-519. |
| 阅读次数 | ||||||
| 全文 |
|
|||||
| 摘要 |
|
|||||